🇳🇴 🇬🇧 🇩🇪 🇨🇿 🇫🇮

Meteor, poloha: Tromsø 2024-02-07 21:57:47 UTC

Soubor KML  |  InteraktivnĂ­ mapa

Mapa zobrazuje dráhy meteoru. Světlejší čáry ukazují směry od pozorovacích stanic při objevení se meteoru a tmavší čáry, kde byl naposledy viděn. Modrá šipka značí viditelnou dráhu meteoru.

static map
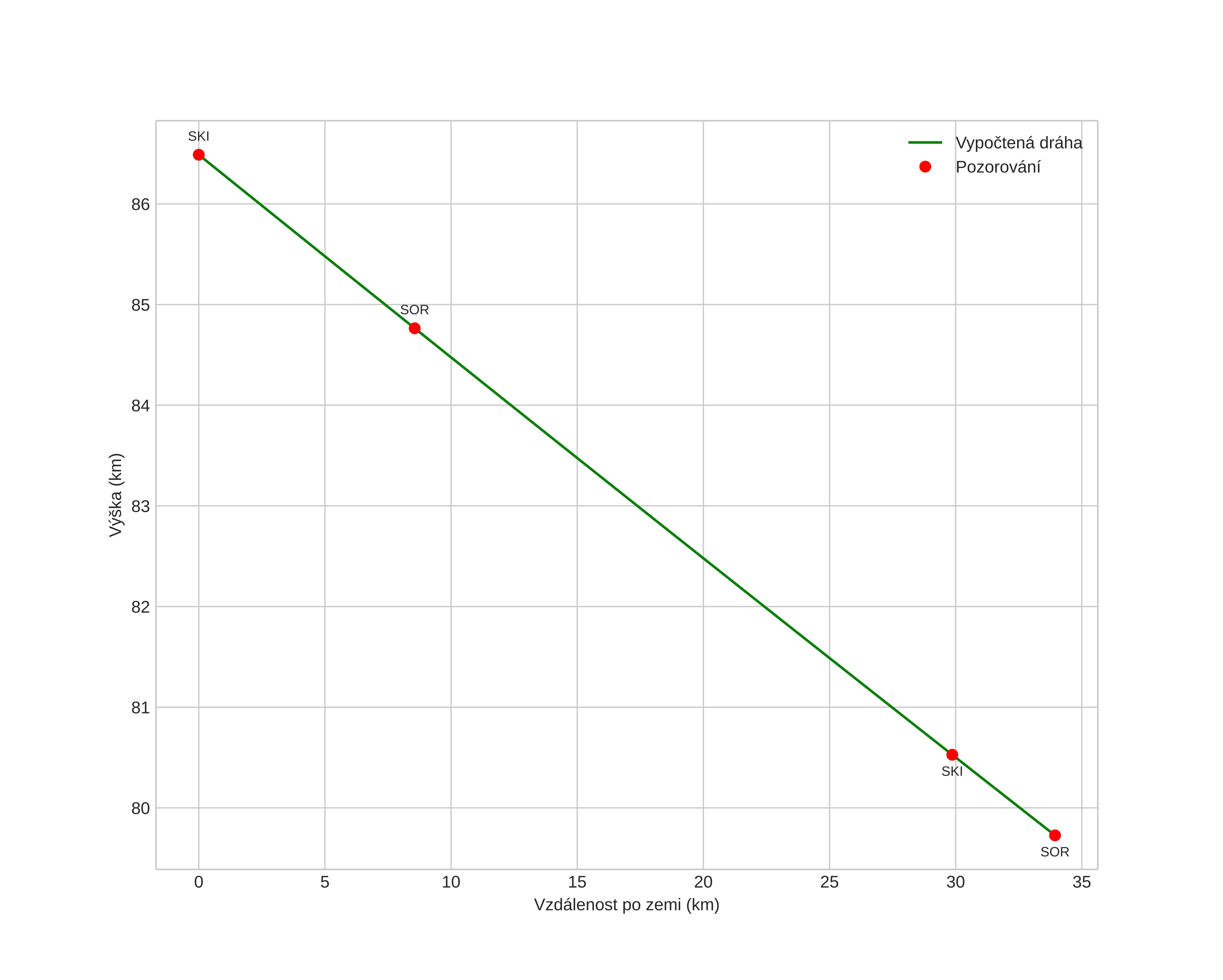
height profile
Atmosférická dráha meteoru:
Počáteční výška: 87,4 km
Konečná výška: 79,9 km
Počáteční poloha: 69,120N 18,851E
Konečná poloha: 69,426N 18,937E
Směr: 5,6°
Sklon: 12,4°
VstupnĂ­ rychlost: 19,1 km/s
Rektascenze radiantu: 07:56 (119,0°)
Deklinace radiantu: -17,8°
MeteorickĂ˝ roj: sporadickĂ˝
Elementy dráhy meteoroidu:
Vzdálenost v periheliu: 0,835 AU
Excentricita: 0,538
Sklon dráhy: 16,1°
Délka vzestupného uzlu: 138,3°
Argument perihelia: 55,8°
Střední anomálie: 344,1°
Epocha: 2024 FEB 07 21:57:47
orbit plot

NeinteraktivnĂ­ graf | InteraktivnĂ­ graf

position vs time
speed and acceleration