🇳🇴 🇬🇧 🇩🇪 🇨🇿 🇫🇮

Meteor Tromsøin yllä 2024-02-07 21:57:47 UTC

KML-tiedosto  |  Interaktiivinen kartta

Kartta näyttää meteorin suuntahavainnot. Vaaleammat viivat näyttävät suunnat havaintoasemilta meteorin ilmestyessä, ja tummemmat viivat näyttävät, missä se viimeksi nähtiin. Sininen nuoli näyttää meteorin näkyvän lennon.

static map
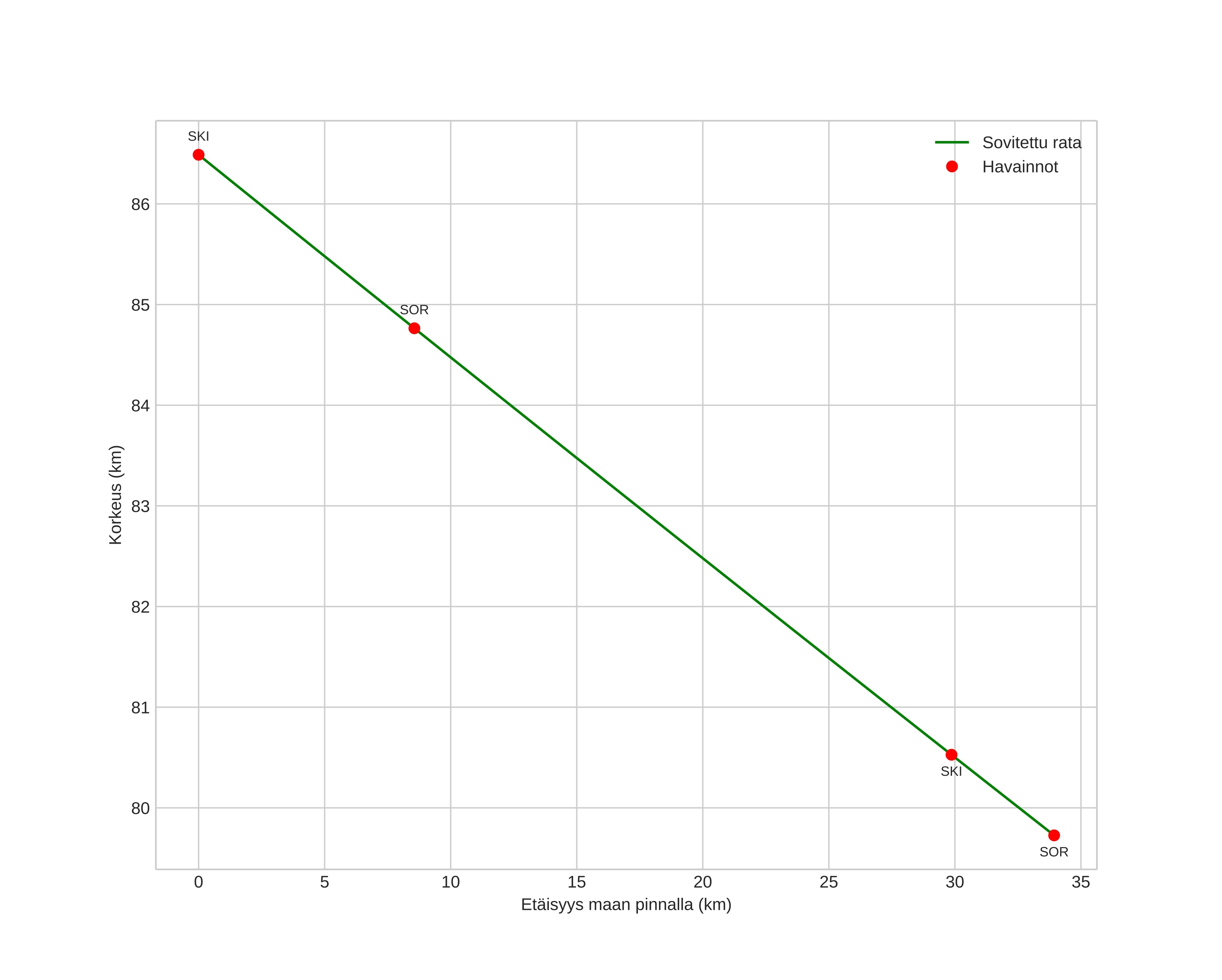
height profile
Meteorin ilmakehärata:
Alkukorkeus: 87,4 km
Loppukorkeus: 79,9 km
Alkupiste: 69,120N 18,851E
Loppupiste: 69,426N 18,937E
Suunta: 5,6°
Kallistuskulma: 12,4°
Tulonopeus: 19,1 km/s
Radiantin R,A,: 07:56 (119,0°)
Radiantin Dekl,: -17,8°
Meteoriparvi: Sporadinen
Meteoroidin rataelementit:
Perihelietäisyys: 0,835 AU
Eksentrisyys: 0,538
Inklinaatio: 16,1°
Nousevan solmun pituus: 138,3°
Perihelin argumentti: 55,8°
Keskianomalia: 344,1°
Epookki: 2024 FEB 07 21:57:47
orbit plot

Ei-interaktiivinen kuvaaja | Interaktiivinen kuvaaja

position vs time
speed and acceleration