🇳🇴 🇬🇧 🇩🇪 🇨🇿 🇫🇮

Meteor, poloha: Storslett 2024-02-08 17:15:34 UTC

Soubor KML  |  InteraktivnĂ­ mapa

Mapa zobrazuje dráhy meteoru. Světlejší čáry ukazují směry od pozorovacích stanic při objevení se meteoru a tmavší čáry, kde byl naposledy viděn. Modrá šipka značí viditelnou dráhu meteoru.

static map
height profile
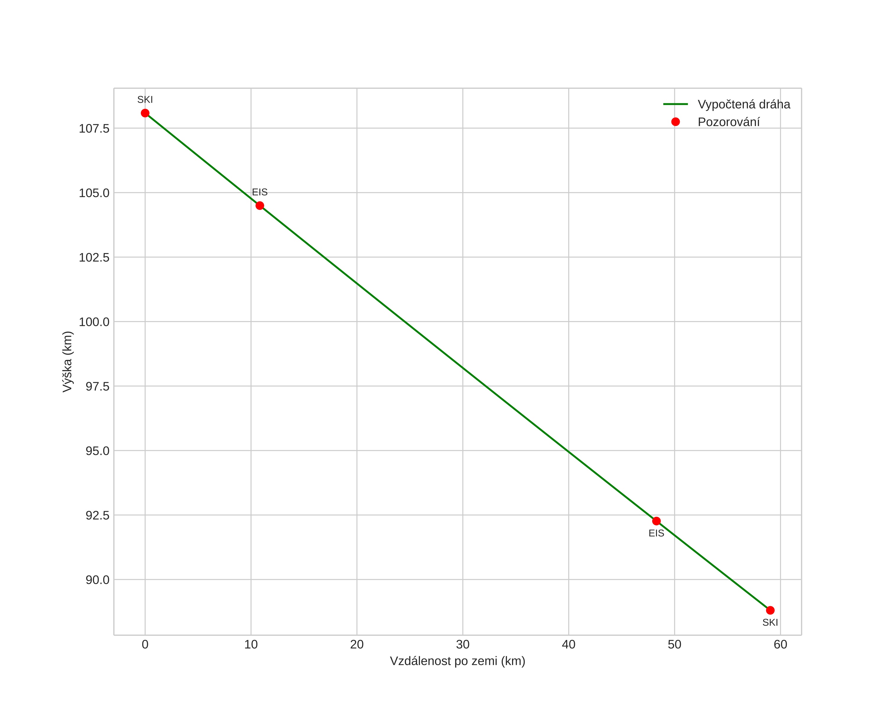
Atmosférická dráha meteoru:
Počáteční výška: 107,1 km
Konečná výška: 88,2 km
Počáteční poloha: 69,876N 23,038E
Konečná poloha: 69,793N 21,535E
Směr: 261,6°
Sklon: 17,9°
VstupnĂ­ rychlost: 39,0 km/s
Rektascenze radiantu: 10:07 (152,0°)
Deklinace radiantu: 18,2°
MeteorickĂ˝ roj: sporadickĂ˝
Elementy dráhy meteoroidu:
Vzdálenost v periheliu: 0,336 AU
Excentricita: 1,058
Sklon dráhy: 9,4°
Délka vzestupného uzlu: 319,1°
Argument perihelia: 286,4°
Střední anomálie: -2,5°
Epocha: 2024 FEB 08 17:15:34
orbit plot

NeinteraktivnĂ­ graf | InteraktivnĂ­ graf

position vs time
speed and acceleration