🇳🇴 🇬🇧 🇩🇪 🇨🇿 🇫🇮

Meteor über Storslett 2024-02-08 17:15:34 UTC

KML-Datei  |  Interaktive Karte

Die Karte zeigt die Peilungen für den Meteor. Die helleren Linien zeigen die Richtungen von den Beobachtungsorten beim Erscheinen des Meteors, und die dunkleren Linien, wo er zuletzt gesehen wurde. Der blaue Pfeil zeigt die sichtbare Bahn des Meteors.

static map
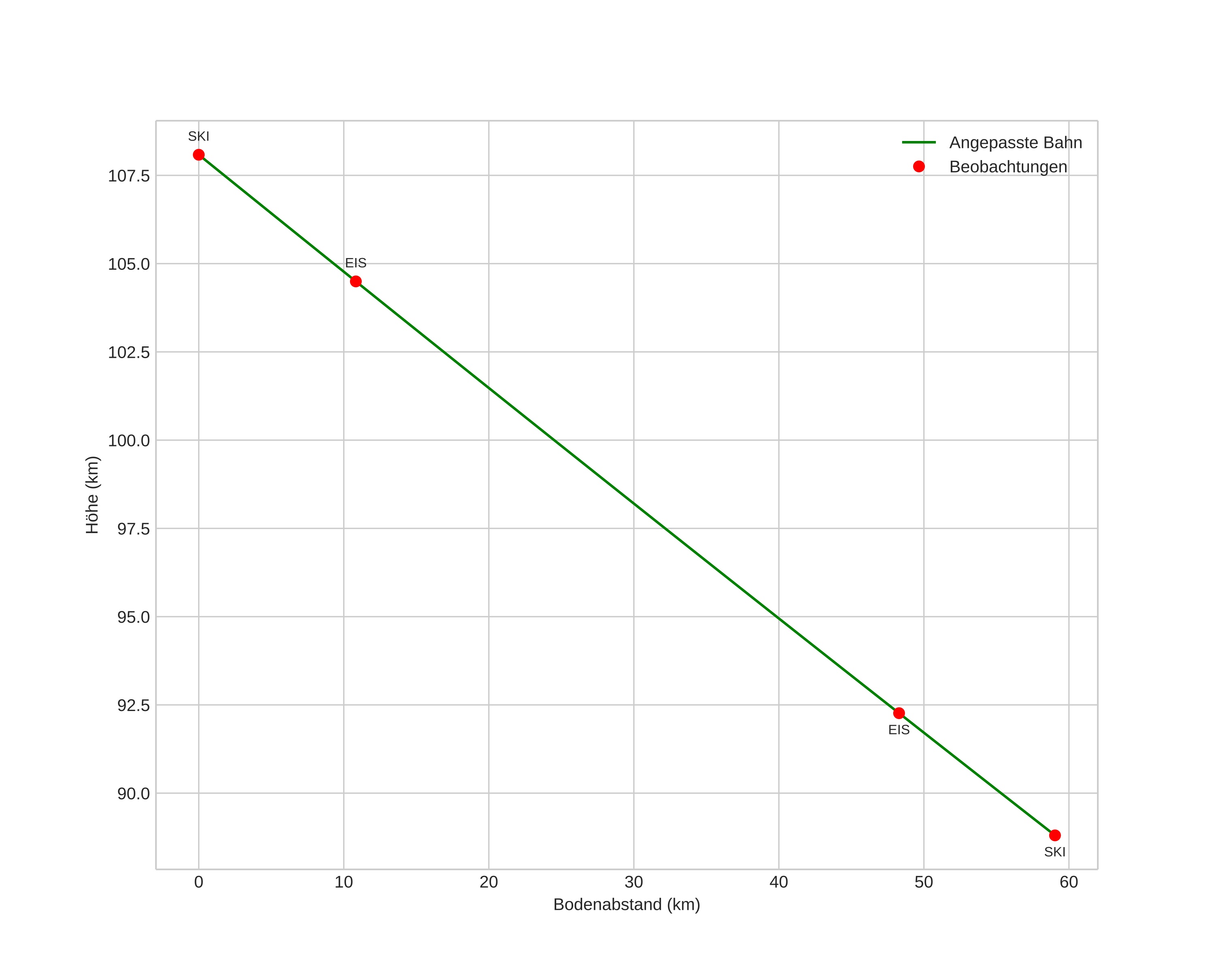
height profile
Atmosphärische Bahn des Meteors:
Anfangshöhe: 107,1 km
Endhöhe: 88,2 km
Startposition: 69,876N 23,038E
Endposition: 69,793N 21,535E
Richtung: 261,6°
Neigungswinkel: 17,9°
Eintrittsgeschwindigkeit: 39,0 km/s
Rektaszension des Radianten: 10:07 (152,0°)
Deklination des Radianten: 18,2°
Meteorstrom: sporadisch
Bahnelemente des Meteoroiden:
Periheldistanz: 0,336 AU
Exzentrizität: 1,058
Inklination: 9,4°
Länge des aufsteigenden Knotens: 319,1°
Argument des Perihels: 286,4°
Mittlere Anomalie: -2,5°
Epoche: 2024 FEB 08 17:15:34
orbit plot

Nicht-interaktives Diagramm | Interaktives Diagramm

position vs time
speed and acceleration