🇳🇴 🇬🇧 🇩🇪 🇨🇿 🇫🇮

Meteor, poloha: Skagen 2024-02-09 05:11:06 UTC

Soubor KML  |  InteraktivnĂ­ mapa

Mapa zobrazuje dráhy meteoru. Světlejší čáry ukazují směry od pozorovacích stanic při objevení se meteoru a tmavší čáry, kde byl naposledy viděn. Modrá šipka značí viditelnou dráhu meteoru.

static map
height profile
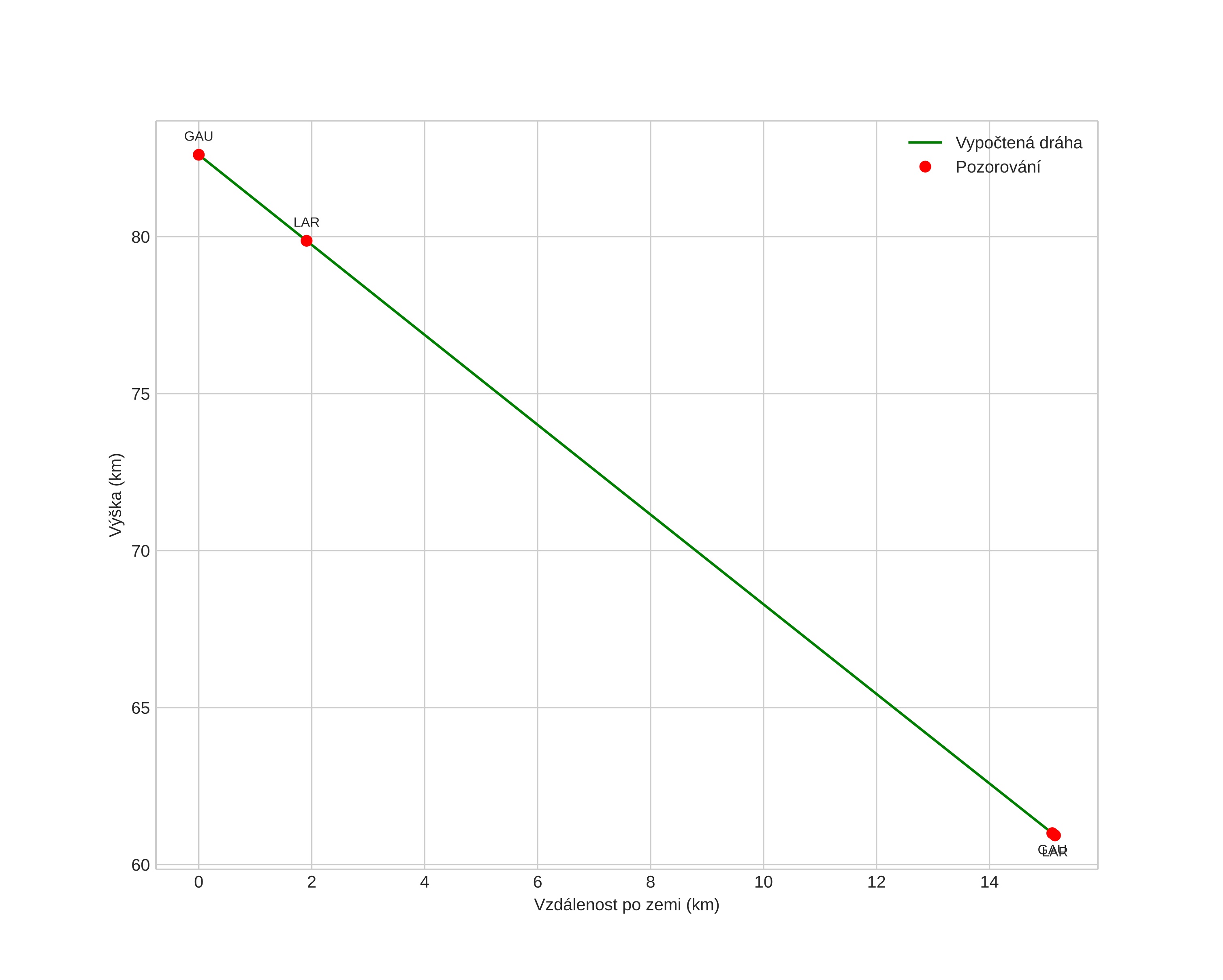
Atmosférická dráha meteoru:
Počáteční výška: 82,6 km
Konečná výška: 60,9 km
Počáteční poloha: 57,977N 10,988E
Konečná poloha: 57,875N 10,816E
Směr: 222,1°
Sklon: 55,1°
VstupnĂ­ rychlost: 21,5 km/s
Rektascenze radiantu: 20:48 (312,2°)
Deklinace radiantu: 66,2°
MeteorickĂ˝ roj: sporadickĂ˝
Elementy dráhy meteoroidu:
Vzdálenost v periheliu: 0,979 AU
Excentricita: 0,691
Sklon dráhy: 26,8°
Délka vzestupného uzlu: 319,6°
Argument perihelia: 169,2°
Střední anomálie: 1,4°
Epocha: 2024 FEB 09 05:11:06
orbit plot

NeinteraktivnĂ­ graf | InteraktivnĂ­ graf

position vs time
speed and acceleration