🇳🇴 🇬🇧 🇩🇪 🇨🇿 🇫🇮

Meteor Skagenin yllä 2024-02-09 05:11:06 UTC

KML-tiedosto  |  Interaktiivinen kartta

Kartta näyttää meteorin suuntahavainnot. Vaaleammat viivat näyttävät suunnat havaintoasemilta meteorin ilmestyessä, ja tummemmat viivat näyttävät, missä se viimeksi nähtiin. Sininen nuoli näyttää meteorin näkyvän lennon.

static map
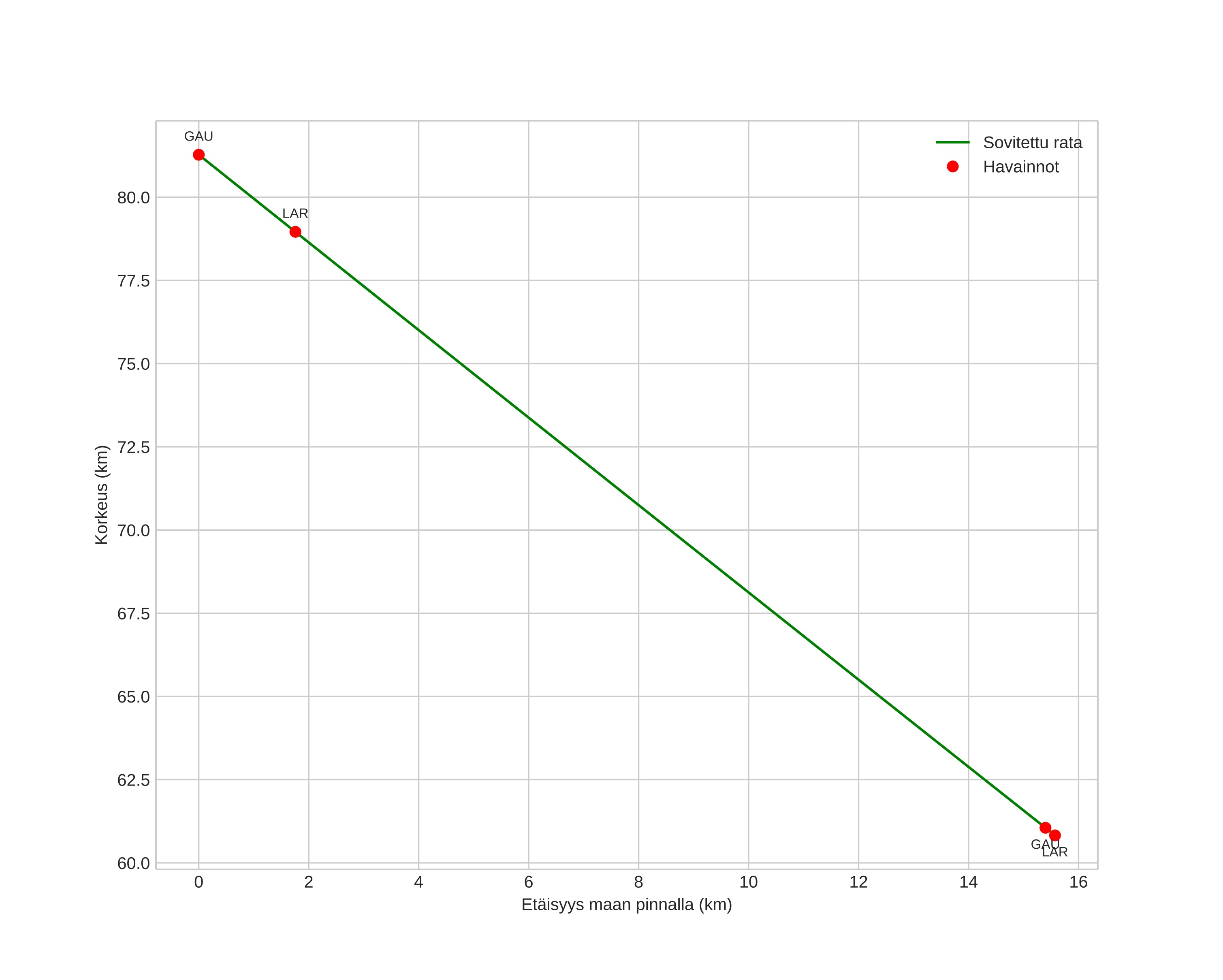
height profile
Meteorin ilmakehärata:
Alkukorkeus: 82,6 km
Loppukorkeus: 60,9 km
Alkupiste: 57,977N 10,988E
Loppupiste: 57,875N 10,816E
Suunta: 222,1°
Kallistuskulma: 55,1°
Tulonopeus: 21,5 km/s
Radiantin R,A,: 20:48 (312,2°)
Radiantin Dekl,: 66,2°
Meteoriparvi: Sporadinen
Meteoroidin rataelementit:
Perihelietäisyys: 0,979 AU
Eksentrisyys: 0,691
Inklinaatio: 26,8°
Nousevan solmun pituus: 319,6°
Perihelin argumentti: 169,2°
Keskianomalia: 1,4°
Epookki: 2024 FEB 09 05:11:06
orbit plot

Ei-interaktiivinen kuvaaja | Interaktiivinen kuvaaja

position vs time
speed and acceleration