🇳🇴 🇬🇧 🇩🇪 🇨🇿 🇫🇮

Meteor, poloha: Andenes 2024-02-09 21:01:47 UTC

Soubor KML  |  InteraktivnĂ­ mapa

Mapa zobrazuje dráhy meteoru. Světlejší čáry ukazují směry od pozorovacích stanic při objevení se meteoru a tmavší čáry, kde byl naposledy viděn. Modrá šipka značí viditelnou dráhu meteoru.

static map
height profile
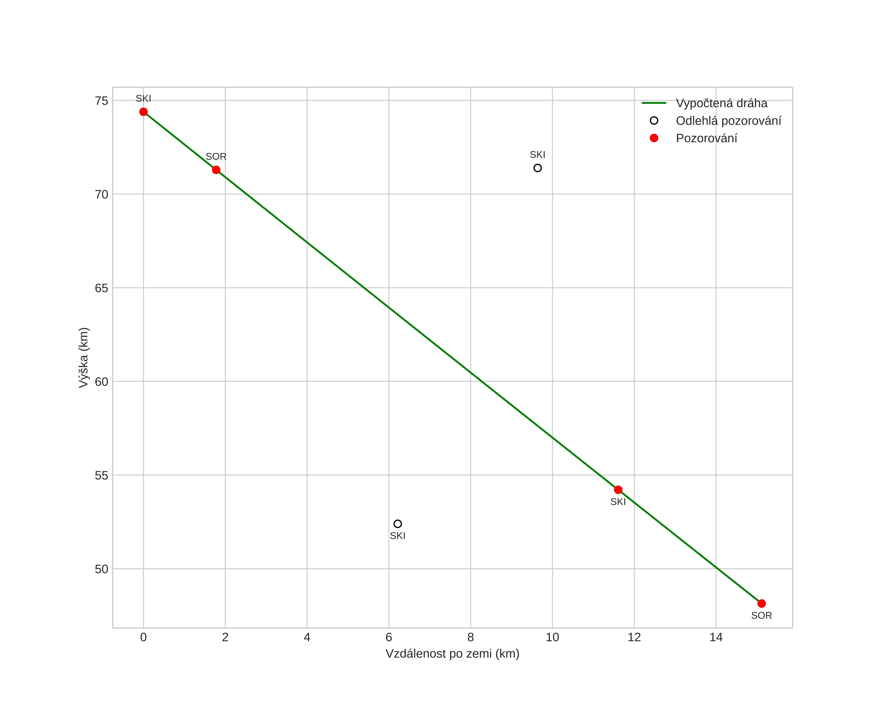
Atmosférická dráha meteoru:
Počáteční výška: 74,4 km
Konečná výška: 48,1 km
Počáteční poloha: 69,909N 16,944E
Konečná poloha: 69,824N 16,638E
Směr: 231,0°
Sklon: 60,1°
VstupnĂ­ rychlost: 26,3 km/s
Rektascenze radiantu: 13:33 (203,4°)
Deklinace radiantu: 66,6°
MeteorickĂ˝ roj: sporadickĂ˝
Elementy dráhy meteoroidu:
Vzdálenost v periheliu: 0,894 AU
Excentricita: 0,576
Sklon dráhy: 36,8°
Délka vzestupného uzlu: 320,3°
Argument perihelia: 222,1°
Střední anomálie: 350,1°
Epocha: 2024 FEB 09 21:01:47
orbit plot

NeinteraktivnĂ­ graf | InteraktivnĂ­ graf

position vs time
speed and acceleration