🇳🇴 🇬🇧 🇩🇪 🇨🇿 🇫🇮

Meteor Andenesin yllä 2024-02-09 21:01:47 UTC

KML-tiedosto  |  Interaktiivinen kartta

Kartta näyttää meteorin suuntahavainnot. Vaaleammat viivat näyttävät suunnat havaintoasemilta meteorin ilmestyessä, ja tummemmat viivat näyttävät, missä se viimeksi nähtiin. Sininen nuoli näyttää meteorin näkyvän lennon.

static map
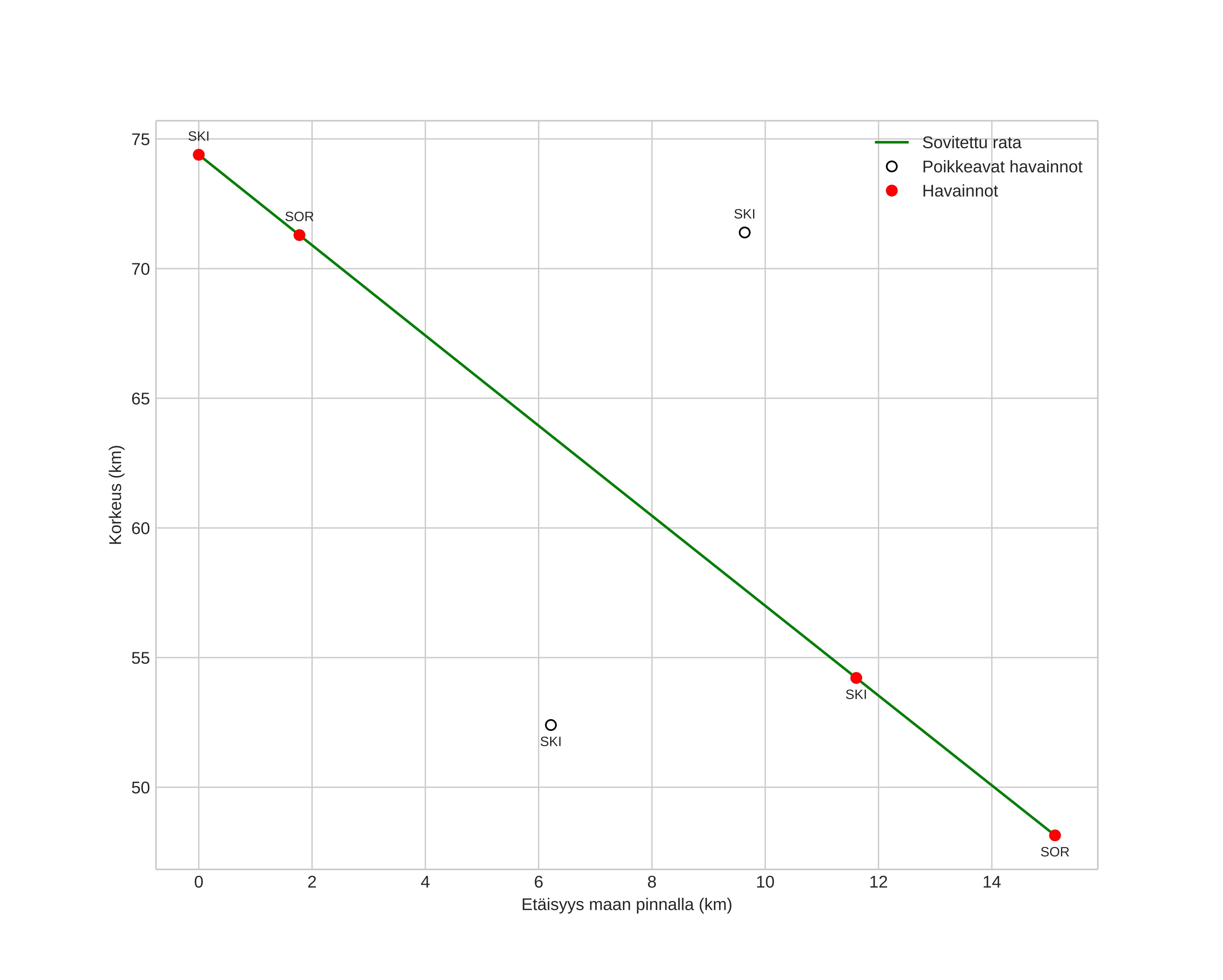
height profile
Meteorin ilmakehärata:
Alkukorkeus: 74,4 km
Loppukorkeus: 48,1 km
Alkupiste: 69,909N 16,944E
Loppupiste: 69,824N 16,638E
Suunta: 231,0°
Kallistuskulma: 60,1°
Tulonopeus: 26,3 km/s
Radiantin R,A,: 13:33 (203,4°)
Radiantin Dekl,: 66,6°
Meteoriparvi: Sporadinen
Meteoroidin rataelementit:
Perihelietäisyys: 0,894 AU
Eksentrisyys: 0,576
Inklinaatio: 36,8°
Nousevan solmun pituus: 320,3°
Perihelin argumentti: 222,1°
Keskianomalia: 350,1°
Epookki: 2024 FEB 09 21:01:47
orbit plot

Ei-interaktiivinen kuvaaja | Interaktiivinen kuvaaja

position vs time
speed and acceleration