🇳🇴 🇬🇧 🇩🇪 🇨🇿 🇫🇮

Meteor, poloha: Andenes 2024-02-12 01:46:00 UTC

Soubor KML  |  InteraktivnĂ­ mapa

Mapa zobrazuje dráhy meteoru. Světlejší čáry ukazují směry od pozorovacích stanic při objevení se meteoru a tmavší čáry, kde byl naposledy viděn. Modrá šipka značí viditelnou dráhu meteoru.

static map
height profile
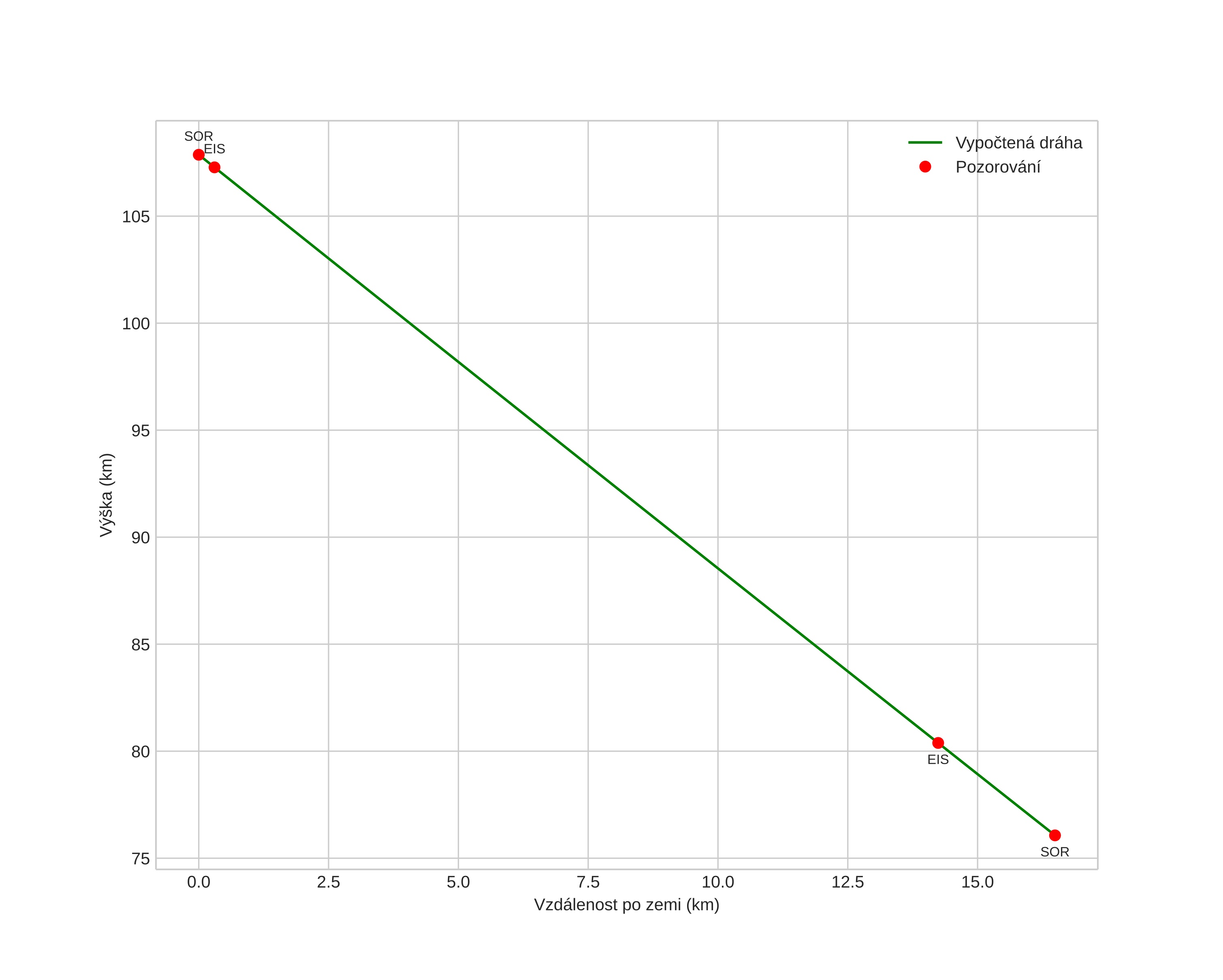
Atmosférická dráha meteoru:
Počáteční výška: 106,7 km
Konečná výška: 75,8 km
Počáteční poloha: 69,206N 16,597E
Konečná poloha: 69,353N 16,587E
Směr: 358,7°
Sklon: 62,1°
VstupnĂ­ rychlost: 39,3 km/s
Rektascenze radiantu: 12:19 (184,8°)
Deklinace radiantu: 40,8°
MeteorickĂ˝ roj: sporadickĂ˝
Elementy dráhy meteoroidu:
Vzdálenost v periheliu: 0,526 AU
Excentricita: 0,903
Sklon dráhy: 51,2°
Délka vzestupného uzlu: 322,5°
Argument perihelia: 269,1°
Střední anomálie: 356,9°
Epocha: 2024 FEB 12 01:46:00
orbit plot

NeinteraktivnĂ­ graf | InteraktivnĂ­ graf

position vs time
speed and acceleration