🇳🇴 🇬🇧 🇩🇪 🇨🇿 🇫🇮

Meteor Andenesin yllä 2024-02-12 01:46:00 UTC

KML-tiedosto  |  Interaktiivinen kartta

Kartta näyttää meteorin suuntahavainnot. Vaaleammat viivat näyttävät suunnat havaintoasemilta meteorin ilmestyessä, ja tummemmat viivat näyttävät, missä se viimeksi nähtiin. Sininen nuoli näyttää meteorin näkyvän lennon.

static map
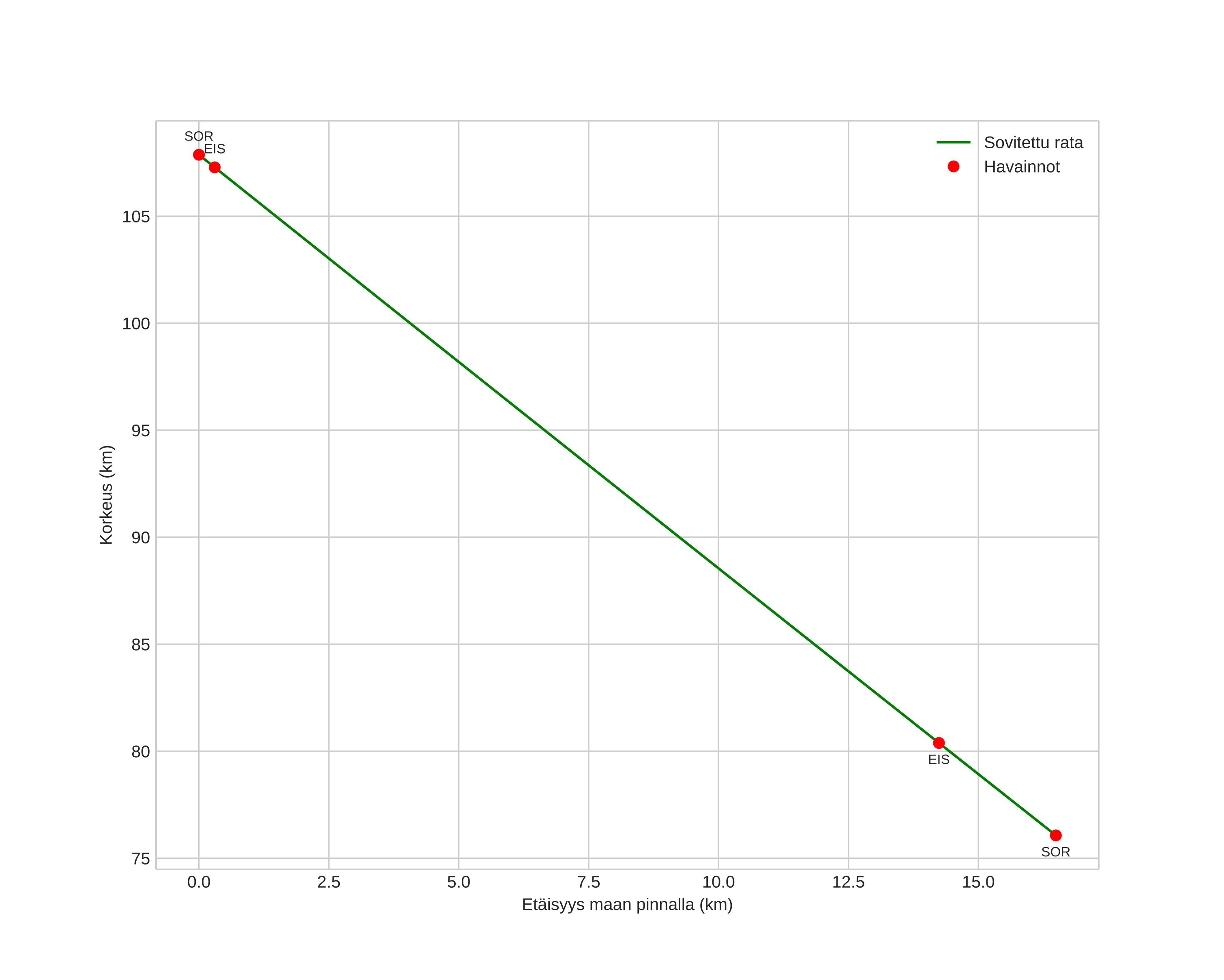
height profile
Meteorin ilmakehärata:
Alkukorkeus: 106,7 km
Loppukorkeus: 75,8 km
Alkupiste: 69,206N 16,597E
Loppupiste: 69,353N 16,587E
Suunta: 358,7°
Kallistuskulma: 62,1°
Tulonopeus: 39,3 km/s
Radiantin R,A,: 12:19 (184,8°)
Radiantin Dekl,: 40,8°
Meteoriparvi: Sporadinen
Meteoroidin rataelementit:
Perihelietäisyys: 0,526 AU
Eksentrisyys: 0,903
Inklinaatio: 51,2°
Nousevan solmun pituus: 322,5°
Perihelin argumentti: 269,1°
Keskianomalia: 356,9°
Epookki: 2024 FEB 12 01:46:00
orbit plot

Ei-interaktiivinen kuvaaja | Interaktiivinen kuvaaja

position vs time
speed and acceleration