🇳🇴 🇬🇧 🇩🇪 🇨🇿 🇫🇮

Meteor, poloha: Utsjoki 2024-02-12 21:58:31 UTC

Soubor KML  |  InteraktivnĂ­ mapa

Mapa zobrazuje dráhy meteoru. Světlejší čáry ukazují směry od pozorovacích stanic při objevení se meteoru a tmavší čáry, kde byl naposledy viděn. Modrá šipka značí viditelnou dráhu meteoru.

static map
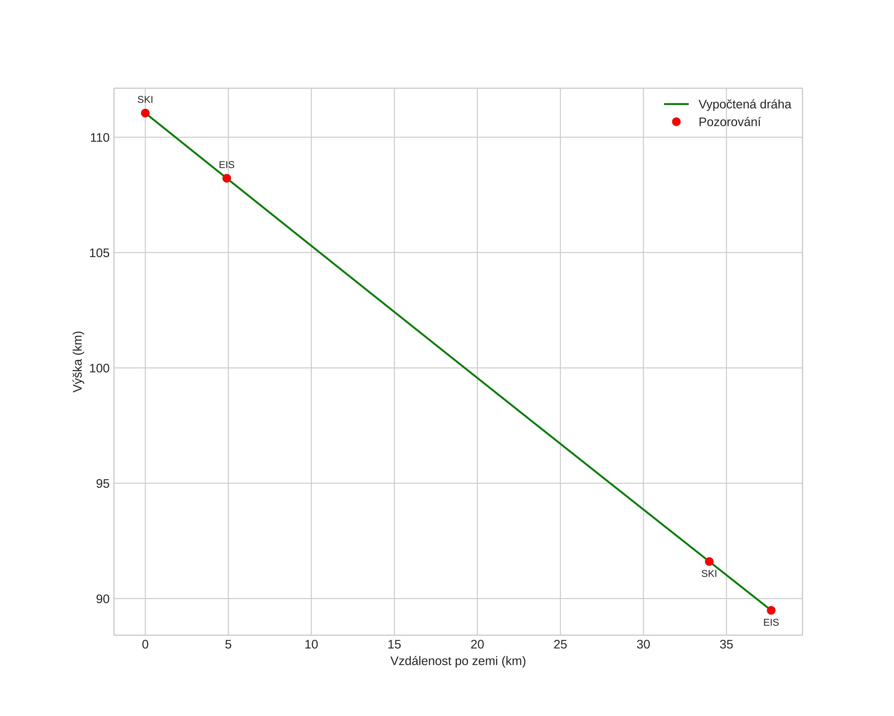
height profile
Atmosférická dráha meteoru:
Počáteční výška: 107,4 km
Konečná výška: 89,8 km
Počáteční poloha: 69,354N 27,070E
Konečná poloha: 69,672N 26,957E
Směr: 352,9°
Sklon: 26,3°
VstupnĂ­ rychlost: 36,7 km/s
Rektascenze radiantu: 09:39 (144,9°)
Deklinace radiantu: 4,2°
MeteorickĂ˝ roj: sporadickĂ˝
Elementy dráhy meteoroidu:
Vzdálenost v periheliu: 0,445 AU
Excentricita: 1,112
Sklon dráhy: 11,0°
Délka vzestupného uzlu: 143,4°
Argument perihelia: 92,5°
Střední anomálie: -4,4°
Epocha: 2024 FEB 12 21:58:31
orbit plot

NeinteraktivnĂ­ graf | InteraktivnĂ­ graf

position vs time
speed and acceleration