🇳🇴 🇬🇧 🇩🇪 🇨🇿 🇫🇮

Meteor Utsjokin yllä 2024-02-12 21:58:31 UTC

KML-tiedosto  |  Interaktiivinen kartta

Kartta näyttää meteorin suuntahavainnot. Vaaleammat viivat näyttävät suunnat havaintoasemilta meteorin ilmestyessä, ja tummemmat viivat näyttävät, missä se viimeksi nähtiin. Sininen nuoli näyttää meteorin näkyvän lennon.

static map
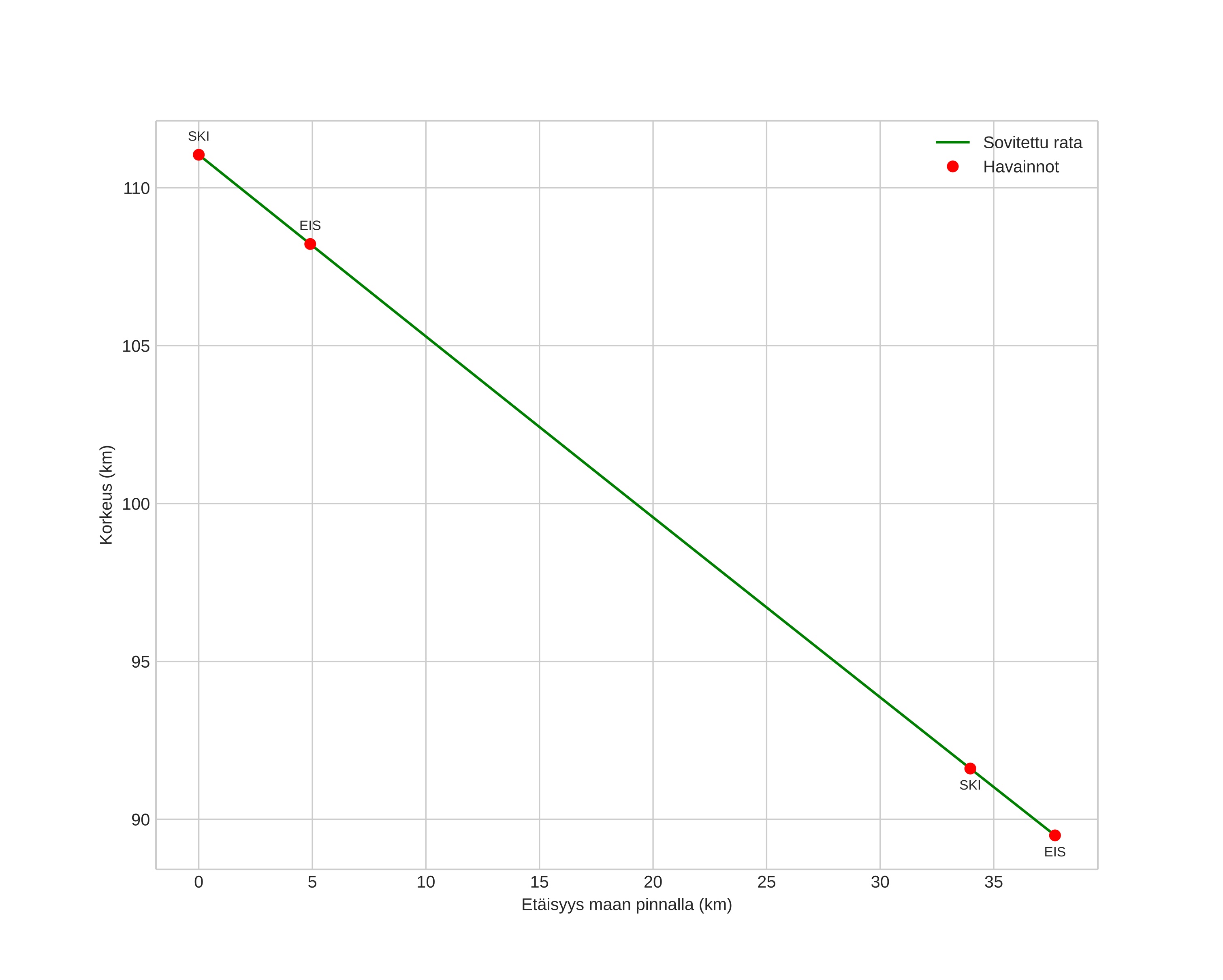
height profile
Meteorin ilmakehärata:
Alkukorkeus: 107,4 km
Loppukorkeus: 89,8 km
Alkupiste: 69,354N 27,070E
Loppupiste: 69,672N 26,957E
Suunta: 352,9°
Kallistuskulma: 26,3°
Tulonopeus: 36,7 km/s
Radiantin R,A,: 09:39 (144,9°)
Radiantin Dekl,: 4,2°
Meteoriparvi: Sporadinen
Meteoroidin rataelementit:
Perihelietäisyys: 0,445 AU
Eksentrisyys: 1,112
Inklinaatio: 11,0°
Nousevan solmun pituus: 143,4°
Perihelin argumentti: 92,5°
Keskianomalia: -4,4°
Epookki: 2024 FEB 12 21:58:31
orbit plot

Ei-interaktiivinen kuvaaja | Interaktiivinen kuvaaja

position vs time
speed and acceleration