🇳🇴 🇬🇧 🇩🇪 🇨🇿 🇫🇮

Meteor, poloha: Hatteng 2024-02-13 00:18:36 UTC

Skibotn – 1
Skibotn – 1
Skibotn – 3
Skibotn – 3
Sørreisa – 2
Sørreisa – 2
Sørreisa – 4
Sørreisa – 4

Soubor KML  | Interaktivní mapa

map

Mapa zobrazuje dráhy meteoru. Světlejší čáry ukazují směry od pozorovacích stanic při objevení se meteoru a tmavší čáry, kde byl naposledy viděn. Modrá šipka značí viditelnou dráhu meteoru.

height profile
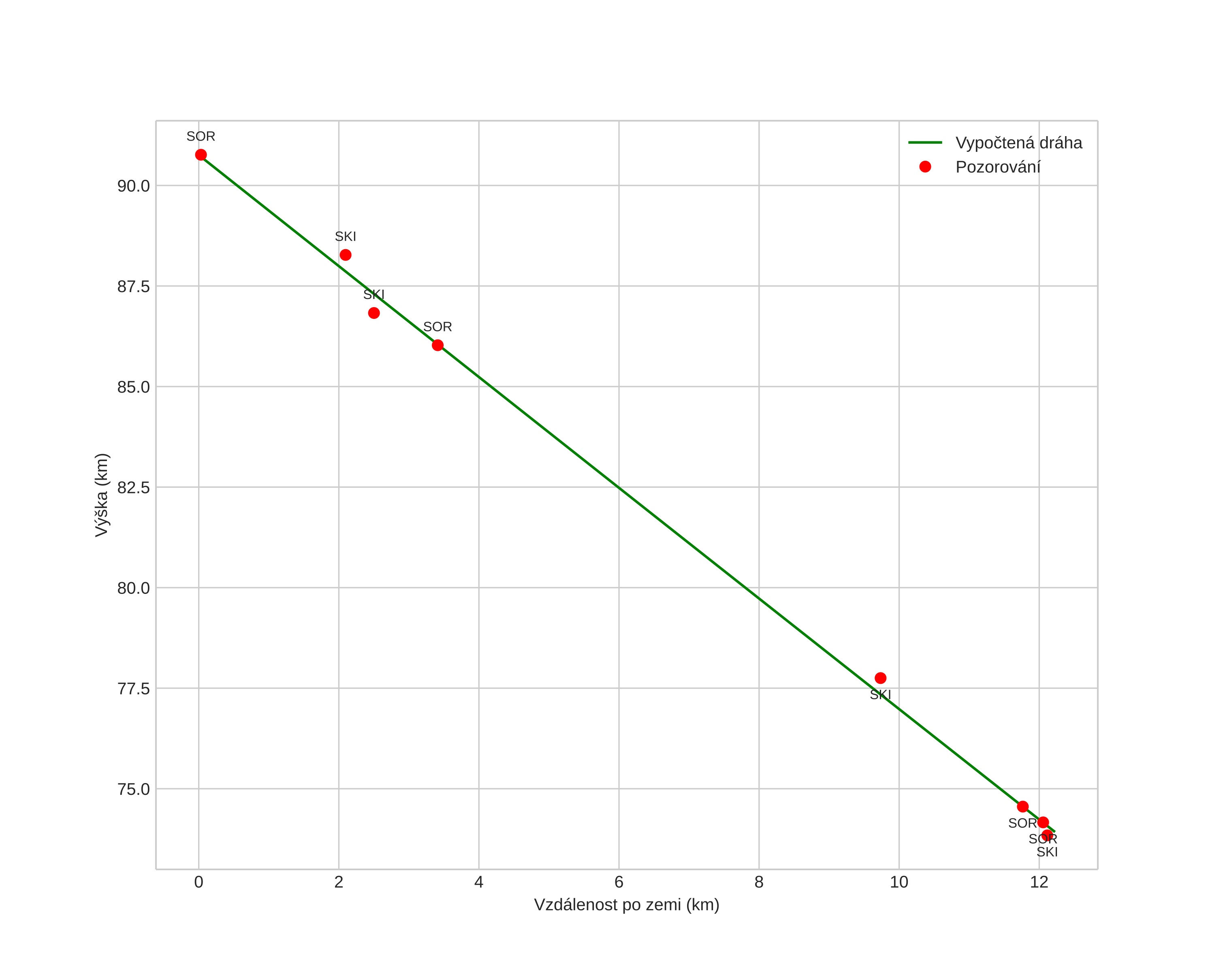
Atmosférická dráha meteoru:
Počáteční výška: 90,8 km
Konečná výška: 74,3 km
Počáteční poloha: 69,290N 19,525E
Konečná poloha: 69,242N 19,802E
Směr: 116,2°
Sklon: 53,6°
Vstupní rychlost: 15,4 km/s
Rektascenze radiantu: 04:56 (74,1°)
Deklinace radiantu: 51,5°
Meteorický roj: sporadický
Elementy dráhy meteoroidu:
Vzdálenost v periheliu: 0,976 AU
Excentricita: 0,721
Sklon dráhy: 7,6°
Délka vzestupného uzlu: 323,4°
Argument perihelia: 193,1°
Střední anomálie: 358,5°
Epocha: 2024 FEB 13 00:18:36
orbit

Neinteraktivní graf | Interaktivní graf

position vs time
speed & acceleration