🇳🇴 🇬🇧 🇩🇪 🇨🇿 🇫🇮

Meteor über Hatteng 2024-02-13 00:18:36 UTC

Skibotn – 1
Skibotn – 1
Skibotn – 3
Skibotn – 3
Sørreisa – 2
Sørreisa – 2
Sørreisa – 4
Sørreisa – 4

KML-Datei  | Interaktive Karte

map

Die Karte zeigt die Peilungen für den Meteor. Die helleren Linien zeigen die Richtungen von den Beobachtungsorten beim Erscheinen des Meteors, und die dunkleren Linien, wo er zuletzt gesehen wurde. Der blaue Pfeil zeigt die sichtbare Bahn des Meteors.

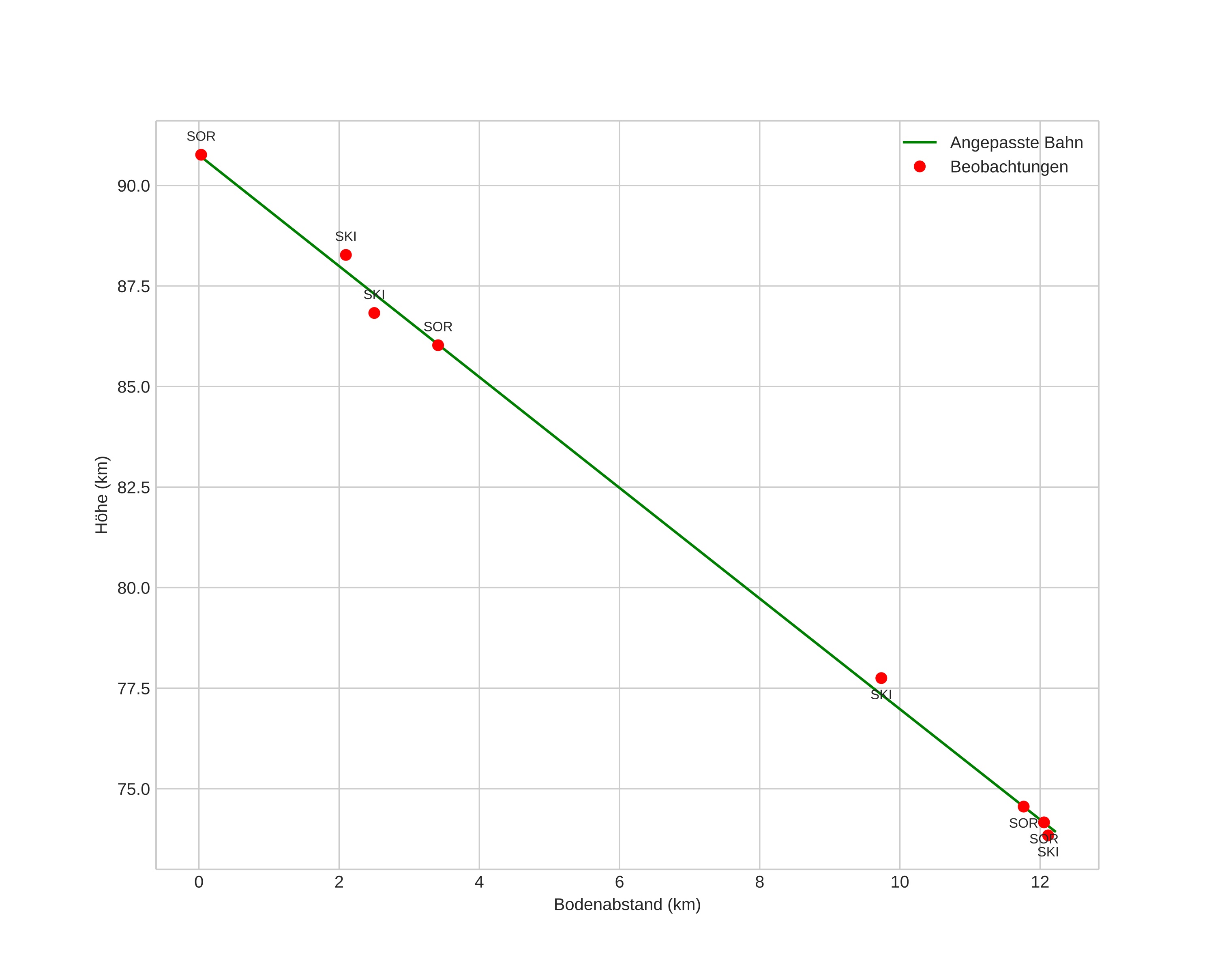
height profile
Atmosphärische Bahn des Meteors:
Anfangshöhe: 90,8 km
Endhöhe: 74,3 km
Startposition: 69,290N 19,525E
Endposition: 69,242N 19,802E
Richtung: 116,2°
Neigungswinkel: 53,6°
Eintrittsgeschwindigkeit: 15,4 km/s
Rektaszension des Radianten: 04:56 (74,1°)
Deklination des Radianten: 51,5°
Meteorstrom: sporadisch
Bahnelemente des Meteoroiden:
Periheldistanz: 0,976 AU
Exzentrizität: 0,721
Inklination: 7,6°
Länge des aufsteigenden Knotens: 323,4°
Argument des Perihels: 193,1°
Mittlere Anomalie: 358,5°
Epoche: 2024 FEB 13 00:18:36
orbit

Nicht-interaktives Diagramm | Interaktives Diagramm

position vs time
speed & acceleration