🇳🇴 🇬🇧 🇩🇪 🇨🇿 🇫🇮

Meteor, poloha: Hatteng 2024-02-14 17:02:57 UTC

Soubor KML  |  InteraktivnĂ­ mapa

Mapa zobrazuje dráhy meteoru. Světlejší čáry ukazují směry od pozorovacích stanic při objevení se meteoru a tmavší čáry, kde byl naposledy viděn. Modrá šipka značí viditelnou dráhu meteoru.

static map
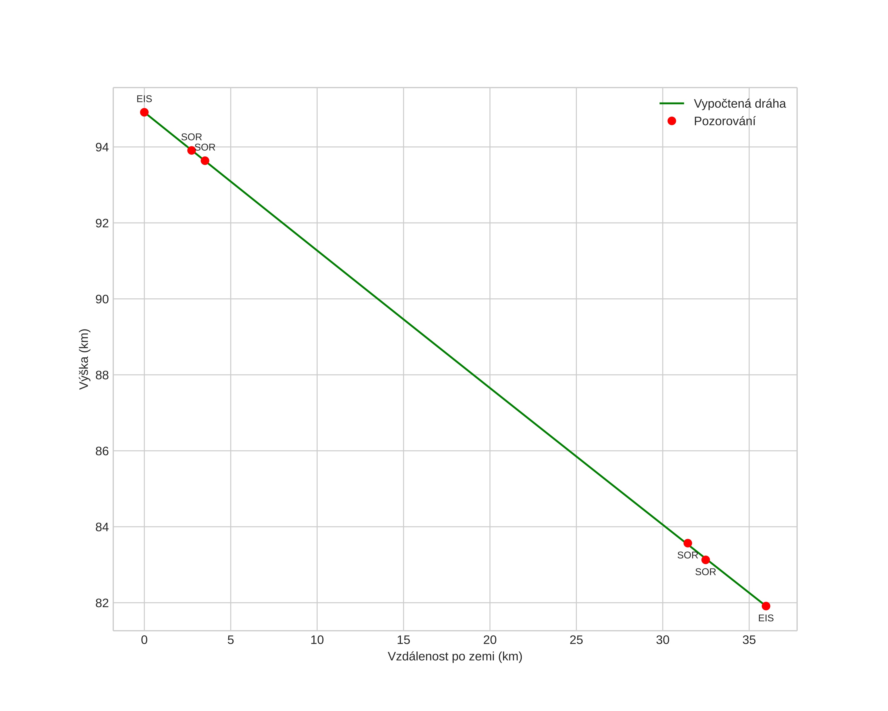
height profile
Atmosférická dráha meteoru:
Počáteční výška: 95,8 km
Konečná výška: 82,7 km
Počáteční poloha: 69,241N 20,708E
Konečná poloha: 69,291N 19,801E
Směr: 279,2°
Sklon: 19,9°
VstupnĂ­ rychlost: 22,5 km/s
Rektascenze radiantu: 09:05 (136,5°)
Deklinace radiantu: 10,3°
MeteorickĂ˝ roj: sporadickĂ˝
Elementy dráhy meteoroidu:
Vzdálenost v periheliu: 0,705 AU
Excentricita: 0,733
Sklon dráhy: 3,5°
Délka vzestupného uzlu: 145,2°
Argument perihelia: 71,1°
Střední anomálie: 350,5°
Epocha: 2024 FEB 14 17:02:57
orbit plot

NeinteraktivnĂ­ graf | InteraktivnĂ­ graf

position vs time
speed and acceleration