🇳🇴 🇬🇧 🇩🇪 🇨🇿 🇫🇮

Meteor Hattengin yllä 2024-02-14 17:02:57 UTC

KML-tiedosto  |  Interaktiivinen kartta

Kartta näyttää meteorin suuntahavainnot. Vaaleammat viivat näyttävät suunnat havaintoasemilta meteorin ilmestyessä, ja tummemmat viivat näyttävät, missä se viimeksi nähtiin. Sininen nuoli näyttää meteorin näkyvän lennon.

static map
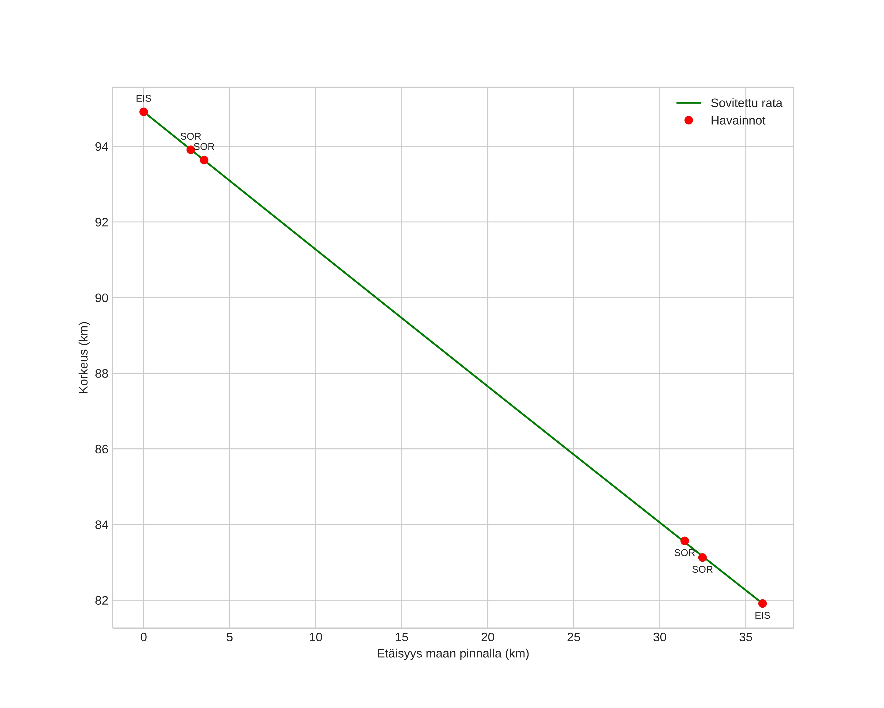
height profile
Meteorin ilmakehärata:
Alkukorkeus: 95,8 km
Loppukorkeus: 82,7 km
Alkupiste: 69,241N 20,708E
Loppupiste: 69,291N 19,801E
Suunta: 279,2°
Kallistuskulma: 19,9°
Tulonopeus: 22,5 km/s
Radiantin R,A,: 09:05 (136,5°)
Radiantin Dekl,: 10,3°
Meteoriparvi: Sporadinen
Meteoroidin rataelementit:
Perihelietäisyys: 0,705 AU
Eksentrisyys: 0,733
Inklinaatio: 3,5°
Nousevan solmun pituus: 145,2°
Perihelin argumentti: 71,1°
Keskianomalia: 350,5°
Epookki: 2024 FEB 14 17:02:57
orbit plot

Ei-interaktiivinen kuvaaja | Interaktiivinen kuvaaja

position vs time
speed and acceleration