🇳🇴 🇬🇧 🇩🇪 🇨🇿 🇫🇮

Meteor, poloha: Brøstadbotn 2024-03-02 00:47:19 UTC

Soubor KML  |  InteraktivnĂ­ mapa

Mapa zobrazuje dráhy meteoru. Světlejší čáry ukazují směry od pozorovacích stanic při objevení se meteoru a tmavší čáry, kde byl naposledy viděn. Modrá šipka značí viditelnou dráhu meteoru.

static map
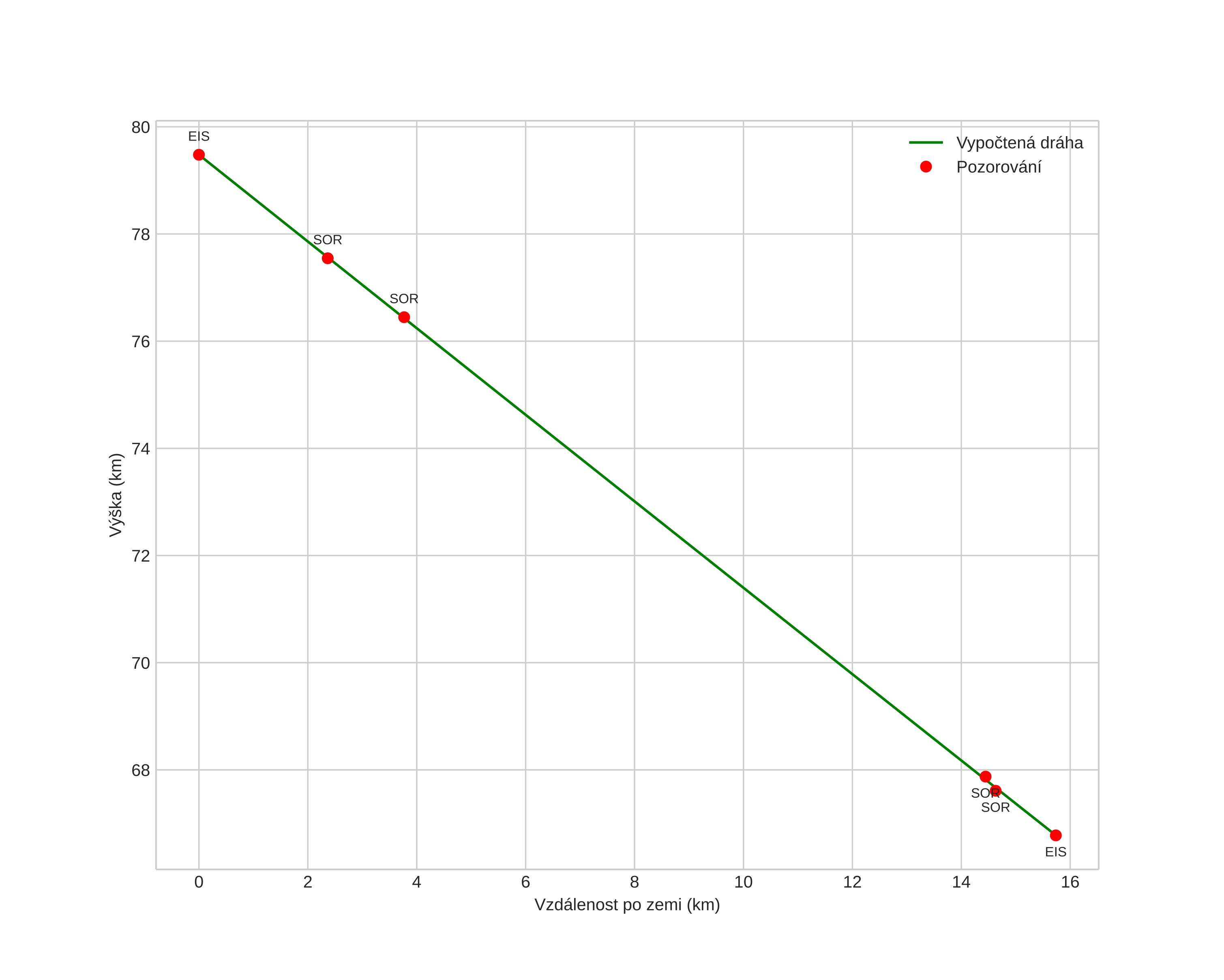
height profile
Atmosférická dráha meteoru:
Počáteční výška: 75,6 km
Konečná výška: 63,3 km
Počáteční poloha: 69,628N 17,179E
Konečná poloha: 69,504N 17,144E
Směr: 185,7°
Sklon: 41,5°
VstupnĂ­ rychlost: 18,1 km/s
Rektascenze radiantu: 00:06 (1,6°)
Deklinace radiantu: 55,7°
MeteorickĂ˝ roj: sporadickĂ˝
Elementy dráhy meteoroidu:
Vzdálenost v periheliu: 0,959 AU
Excentricita: 0,735
Sklon dráhy: 16,1°
Délka vzestupného uzlu: 341,6°
Argument perihelia: 157,4°
Střední anomálie: 2,4°
Epocha: 2024 MAR 02 00:47:19
orbit plot

NeinteraktivnĂ­ graf | InteraktivnĂ­ graf

position vs time
speed and acceleration