🇳🇴 🇬🇧 🇩🇪 🇨🇿 🇫🇮

Meteor Brøstadbotnin yllä 2024-03-02 00:47:19 UTC

KML-tiedosto  |  Interaktiivinen kartta

Kartta näyttää meteorin suuntahavainnot. Vaaleammat viivat näyttävät suunnat havaintoasemilta meteorin ilmestyessä, ja tummemmat viivat näyttävät, missä se viimeksi nähtiin. Sininen nuoli näyttää meteorin näkyvän lennon.

static map
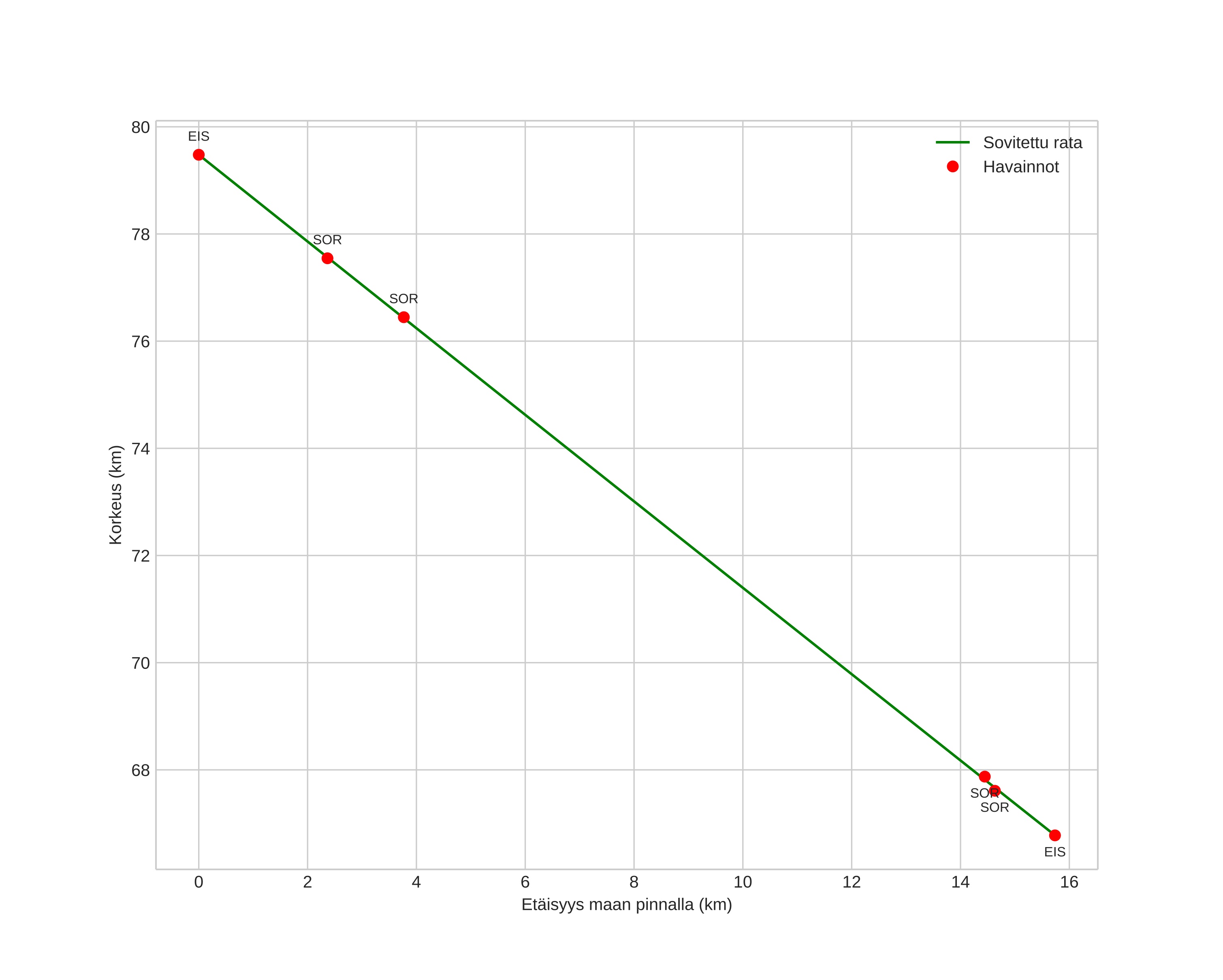
height profile
Meteorin ilmakehärata:
Alkukorkeus: 75,6 km
Loppukorkeus: 63,3 km
Alkupiste: 69,628N 17,179E
Loppupiste: 69,504N 17,144E
Suunta: 185,7°
Kallistuskulma: 41,5°
Tulonopeus: 18,1 km/s
Radiantin R,A,: 00:06 (1,6°)
Radiantin Dekl,: 55,7°
Meteoriparvi: Sporadinen
Meteoroidin rataelementit:
Perihelietäisyys: 0,959 AU
Eksentrisyys: 0,735
Inklinaatio: 16,1°
Nousevan solmun pituus: 341,6°
Perihelin argumentti: 157,4°
Keskianomalia: 2,4°
Epookki: 2024 MAR 02 00:47:19
orbit plot

Ei-interaktiivinen kuvaaja | Interaktiivinen kuvaaja

position vs time
speed and acceleration