🇳🇴 🇬🇧 🇩🇪 🇨🇿 🇫🇮

Meteor, poloha: Skjervøy 2024-03-03 23:29:25 UTC

Skibotn – 4
Skibotn – 4
Sørreisa – 4
Sørreisa – 4

Soubor KML  | Interaktivní mapa

map

Mapa zobrazuje dráhy meteoru. Světlejší čáry ukazují směry od pozorovacích stanic při objevení se meteoru a tmavší čáry, kde byl naposledy viděn. Modrá šipka značí viditelnou dráhu meteoru.

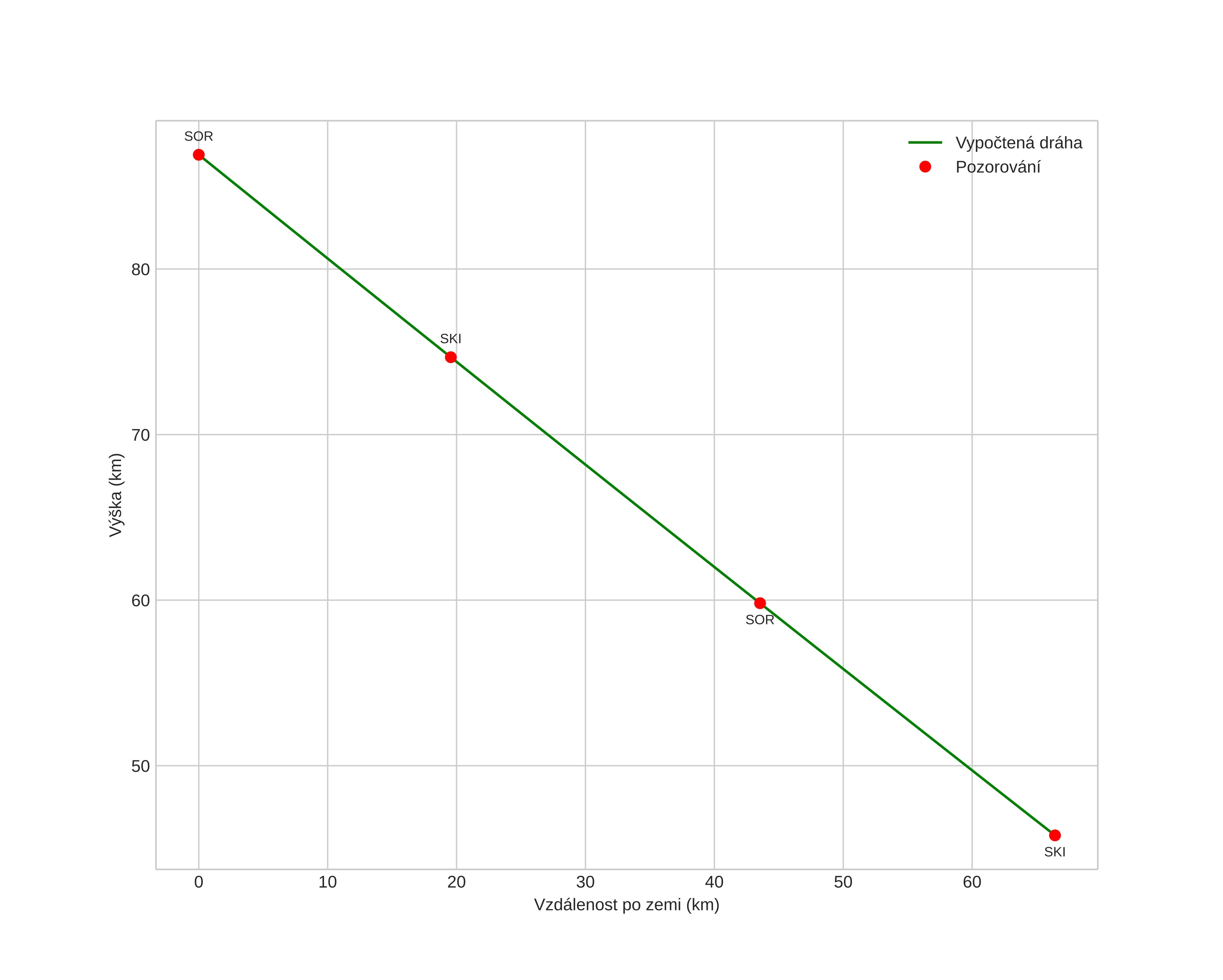
height profile
Atmosférická dráha meteoru:
Počáteční výška: 86,9 km
Konečná výška: 45,9 km
Počáteční poloha: 71,810N 20,377E
Konečná poloha: 72,402N 20,662E
Směr: 8,3°
Sklon: 31,6°
Vstupní rychlost: 27,2 km/s
Rektascenze radiantu: 11:07 (166,9°)
Deklinace radiantu: 10,8°
Meteorický roj: sporadický
Elementy dráhy meteoroidu:
Vzdálenost v periheliu: 0,550 AU
Excentricita: 0,817
Sklon dráhy: 4,0°
Délka vzestupného uzlu: 343,5°
Argument perihelia: 269,4°
Střední anomálie: 351,9°
Epocha: 2024 MAR 03 23:29:25
orbit

Neinteraktivní graf | Interaktivní graf

position vs time
speed & acceleration