🇳🇴 🇬🇧 🇩🇪 🇨🇿 🇫🇮

Meteor Skjervøyn yllä 2024-03-03 23:29:25 UTC

Skibotn – 4
Skibotn – 4
Sørreisa – 4
Sørreisa – 4

KML-tiedosto  | Interaktiivinen kartta

map

Kartta näyttää meteorin suuntahavainnot. Vaaleammat viivat näyttävät suunnat havaintoasemilta meteorin ilmestyessä, ja tummemmat viivat näyttävät, missä se viimeksi nähtiin. Sininen nuoli näyttää meteorin näkyvän lennon.

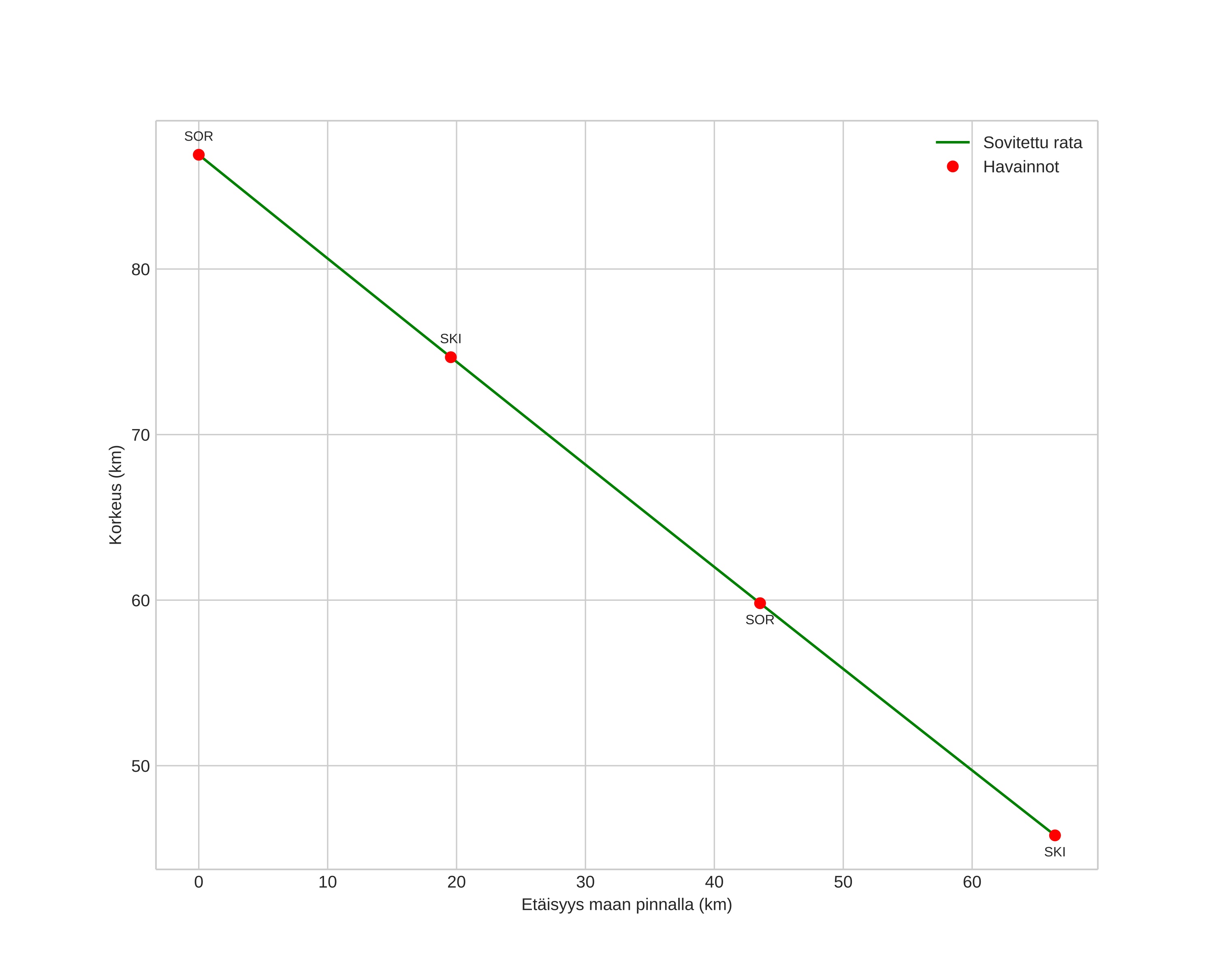
height profile
Meteorin ilmakehärata:
Alkukorkeus: 86,9 km
Loppukorkeus: 45,9 km
Alkupiste: 71,810N 20,377E
Loppupiste: 72,402N 20,662E
Suunta: 8,3°
Kallistuskulma: 31,6°
Tulonopeus: 27,2 km/s
Radiantin R,A,: 11:07 (166,9°)
Radiantin Dekl,: 10,8°
Meteoriparvi: Sporadinen
Meteoroidin rataelementit:
Perihelietäisyys: 0,550 AU
Eksentrisyys: 0,817
Inklinaatio: 4,0°
Nousevan solmun pituus: 343,5°
Perihelin argumentti: 269,4°
Keskianomalia: 351,9°
Epookki: 2024 MAR 03 23:29:25
orbit

Ei-interaktiivinen kuvaaja | Interaktiivinen kuvaaja

position vs time
speed & acceleration