🇳🇴 🇬🇧 🇩🇪 🇨🇿 🇫🇮

Meteor, poloha: Kautokeino 2024-03-05 01:17:19 UTC

Soubor KML  |  InteraktivnĂ­ mapa

Mapa zobrazuje dráhy meteoru. Světlejší čáry ukazují směry od pozorovacích stanic při objevení se meteoru a tmavší čáry, kde byl naposledy viděn. Modrá šipka značí viditelnou dráhu meteoru.

static map
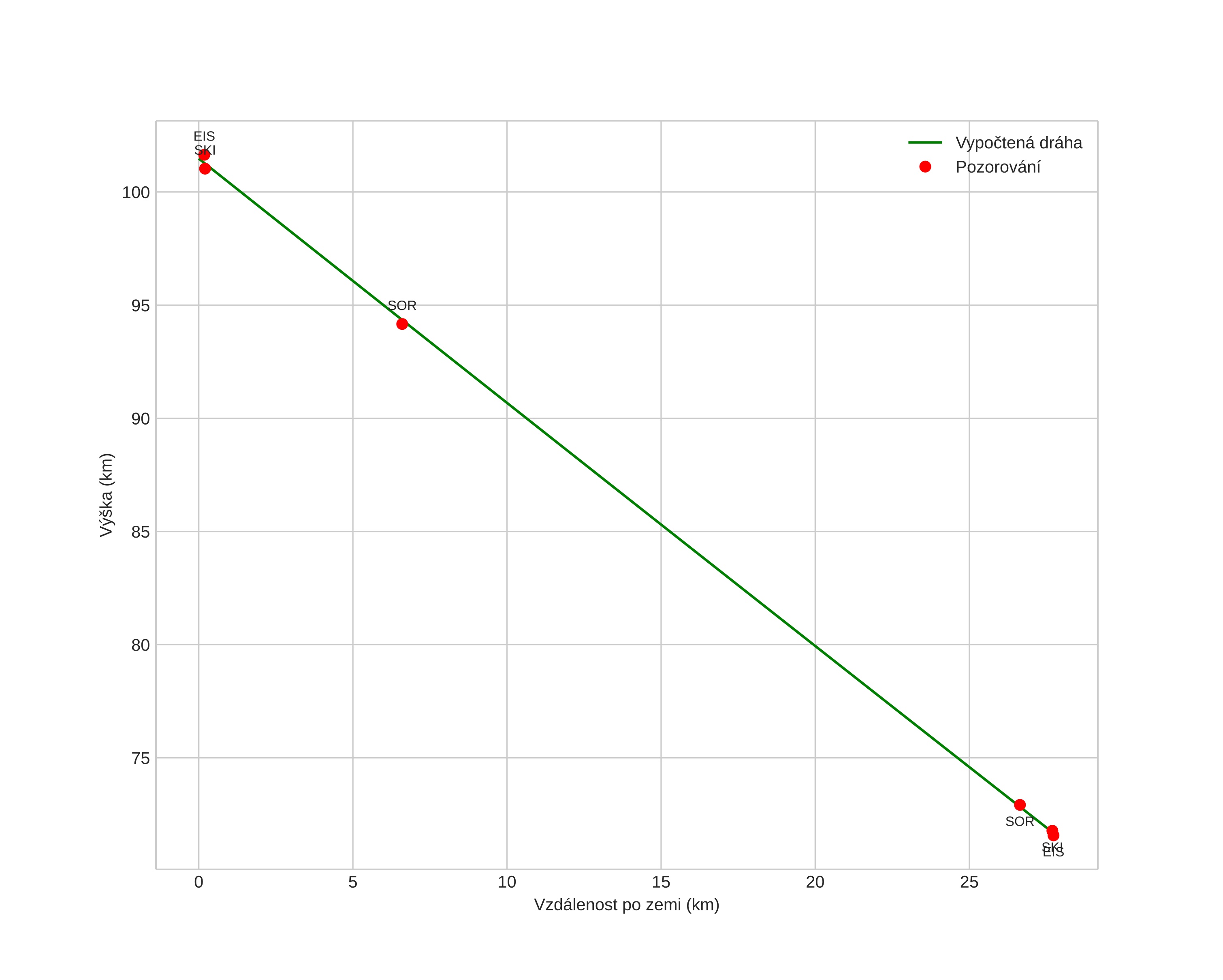
height profile
Atmosférická dráha meteoru:
Počáteční výška: 101,6 km
Konečná výška: 71,4 km
Počáteční poloha: 68,629N 23,002E
Konečná poloha: 68,509N 22,396E
Směr: 241,8°
Sklon: 47,1°
VstupnĂ­ rychlost: 32,7 km/s
Rektascenze radiantu: 19:58 (299,6°)
Deklinace radiantu: 52,1°
MeteorickĂ˝ roj: sporadickĂ˝
Elementy dráhy meteoroidu:
Vzdálenost v periheliu: 0,919 AU
Excentricita: 0,893
Sklon dráhy: 46,4°
Délka vzestupného uzlu: 344,6°
Argument perihelia: 147,5°
Střední anomálie: 0,9°
Epocha: 2024 MAR 05 01:17:19
orbit plot

NeinteraktivnĂ­ graf | InteraktivnĂ­ graf

position vs time
speed and acceleration