🇳🇴 🇬🇧 🇩🇪 🇨🇿 🇫🇮

Meteor Kautokeinon yllä 2024-03-05 01:17:19 UTC

KML-tiedosto  |  Interaktiivinen kartta

Kartta näyttää meteorin suuntahavainnot. Vaaleammat viivat näyttävät suunnat havaintoasemilta meteorin ilmestyessä, ja tummemmat viivat näyttävät, missä se viimeksi nähtiin. Sininen nuoli näyttää meteorin näkyvän lennon.

static map
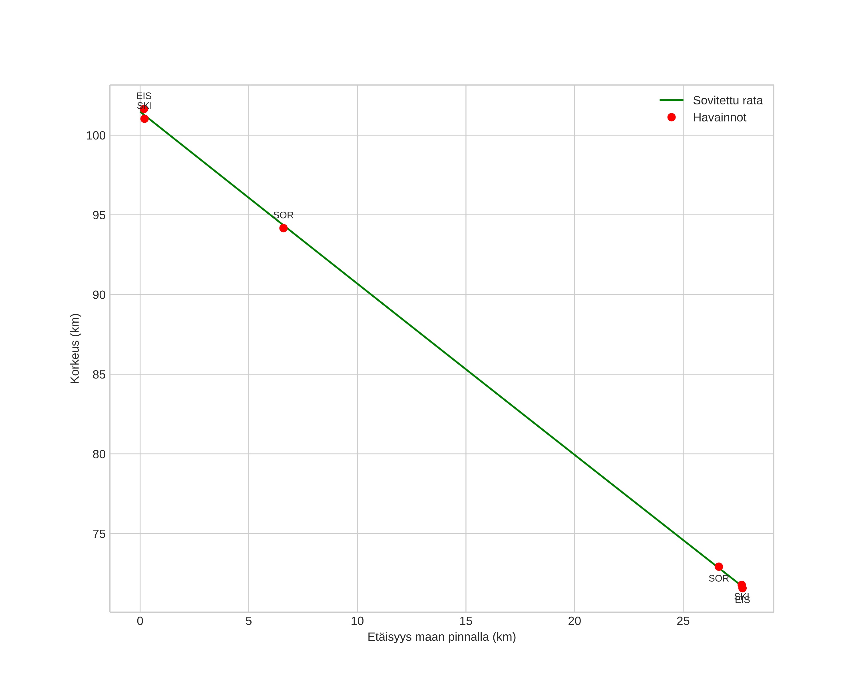
height profile
Meteorin ilmakehärata:
Alkukorkeus: 101,6 km
Loppukorkeus: 71,4 km
Alkupiste: 68,629N 23,002E
Loppupiste: 68,509N 22,396E
Suunta: 241,8°
Kallistuskulma: 47,1°
Tulonopeus: 32,7 km/s
Radiantin R,A,: 19:58 (299,6°)
Radiantin Dekl,: 52,1°
Meteoriparvi: Sporadinen
Meteoroidin rataelementit:
Perihelietäisyys: 0,919 AU
Eksentrisyys: 0,893
Inklinaatio: 46,4°
Nousevan solmun pituus: 344,6°
Perihelin argumentti: 147,5°
Keskianomalia: 0,9°
Epookki: 2024 MAR 05 01:17:19
orbit plot

Ei-interaktiivinen kuvaaja | Interaktiivinen kuvaaja

position vs time
speed and acceleration