🇳🇴 🇬🇧 🇩🇪 🇨🇿 🇫🇮

Meteor, poloha: Kautokeino 2024-03-05 18:39:17 UTC

Soubor KML  |  InteraktivnĂ­ mapa

Mapa zobrazuje dráhy meteoru. Světlejší čáry ukazují směry od pozorovacích stanic při objevení se meteoru a tmavší čáry, kde byl naposledy viděn. Modrá šipka značí viditelnou dráhu meteoru.

static map
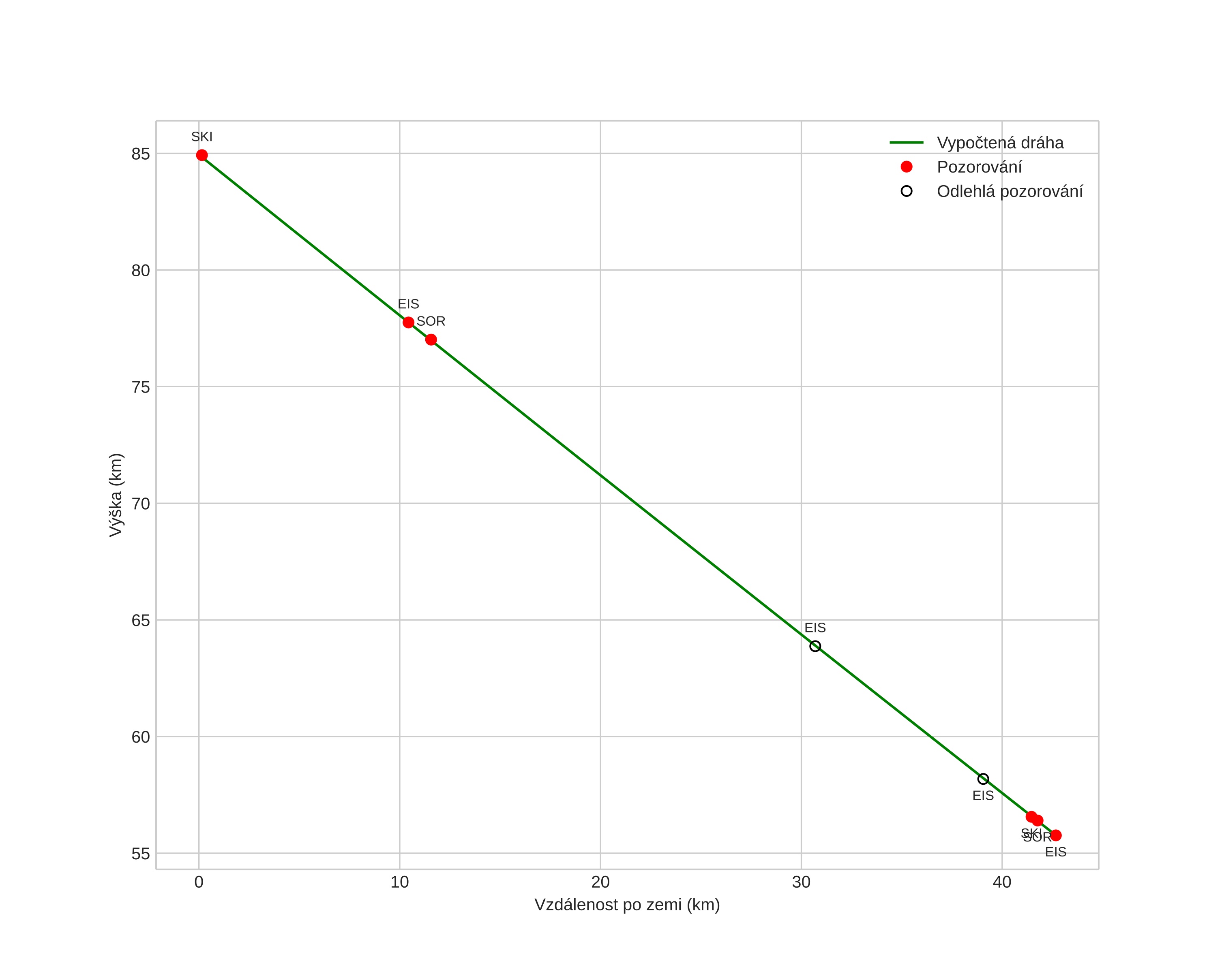
height profile
Atmosférická dráha meteoru:
Počáteční výška: 79,5 km
Konečná výška: 52,1 km
Počáteční poloha: 69,313N 22,544E
Konečná poloha: 69,232N 23,460E
Směr: 103,7°
Sklon: 36,4°
VstupnĂ­ rychlost: 15,6 km/s
Rektascenze radiantu: 00:53 (13,3°)
Deklinace radiantu: 28,9°
MeteorickĂ˝ roj: sporadickĂ˝
Elementy dráhy meteoroidu:
Vzdálenost v periheliu: 0,925 AU
Excentricita: 0,617
Sklon dráhy: 6,3°
Délka vzestupného uzlu: 345,3°
Argument perihelia: 145,3°
Střední anomálie: 6,8°
Epocha: 2024 MAR 05 18:39:17
orbit plot

NeinteraktivnĂ­ graf | InteraktivnĂ­ graf

position vs time
speed and acceleration