🇳🇴 🇬🇧 🇩🇪 🇨🇿 🇫🇮

Meteor Kautokeinon yllä 2024-03-05 18:39:17 UTC

KML-tiedosto  |  Interaktiivinen kartta

Kartta näyttää meteorin suuntahavainnot. Vaaleammat viivat näyttävät suunnat havaintoasemilta meteorin ilmestyessä, ja tummemmat viivat näyttävät, missä se viimeksi nähtiin. Sininen nuoli näyttää meteorin näkyvän lennon.

static map
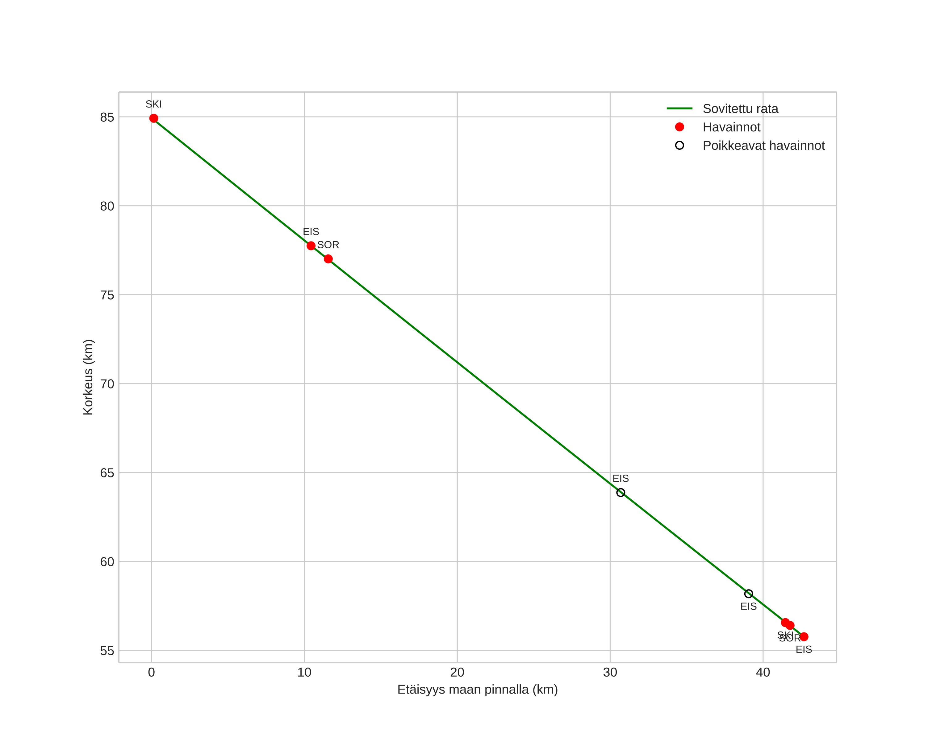
height profile
Meteorin ilmakehärata:
Alkukorkeus: 79,5 km
Loppukorkeus: 52,1 km
Alkupiste: 69,313N 22,544E
Loppupiste: 69,232N 23,460E
Suunta: 103,7°
Kallistuskulma: 36,4°
Tulonopeus: 15,6 km/s
Radiantin R,A,: 00:53 (13,3°)
Radiantin Dekl,: 28,9°
Meteoriparvi: Sporadinen
Meteoroidin rataelementit:
Perihelietäisyys: 0,925 AU
Eksentrisyys: 0,617
Inklinaatio: 6,3°
Nousevan solmun pituus: 345,3°
Perihelin argumentti: 145,3°
Keskianomalia: 6,8°
Epookki: 2024 MAR 05 18:39:17
orbit plot

Ei-interaktiivinen kuvaaja | Interaktiivinen kuvaaja

position vs time
speed and acceleration