🇳🇴 🇬🇧 🇩🇪 🇨🇿 🇫🇮

Meteor, poloha: Lødingen 2024-03-14 01:06:15 UTC

Soubor KML  |  InteraktivnĂ­ mapa

Mapa zobrazuje dráhy meteoru. Světlejší čáry ukazují směry od pozorovacích stanic při objevení se meteoru a tmavší čáry, kde byl naposledy viděn. Modrá šipka značí viditelnou dráhu meteoru.

static map
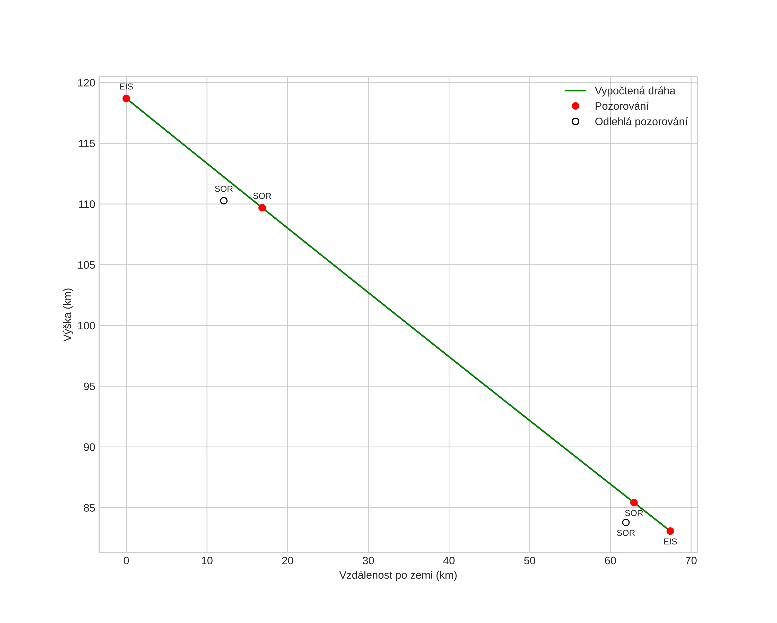
height profile
Atmosférická dráha meteoru:
Počáteční výška: 118,7 km
Konečná výška: 83,2 km
Počáteční poloha: 68,134N 17,108E
Konečná poloha: 68,507N 15,820E
Směr: 308,7°
Sklon: 27,8°
VstupnĂ­ rychlost: 66,2 km/s
Rektascenze radiantu: 16:42 (250,6°)
Deklinace radiantu: 12,7°
MeteorickĂ˝ roj: sporadickĂ˝
Elementy dráhy meteoroidu:
Vzdálenost v periheliu: 0,896 AU
Excentricita: 1,265
Sklon dráhy: 120,0°
Délka vzestupného uzlu: 353,6°
Argument perihelia: 214,7°
Střední anomálie: -3,4°
Epocha: 2024 MAR 14 01:06:15
orbit plot

NeinteraktivnĂ­ graf | InteraktivnĂ­ graf

position vs time
speed and acceleration