🇳🇴 🇬🇧 🇩🇪 🇨🇿 🇫🇮

Meteor Lødingenin yllä 2024-03-14 01:06:15 UTC

KML-tiedosto  |  Interaktiivinen kartta

Kartta näyttää meteorin suuntahavainnot. Vaaleammat viivat näyttävät suunnat havaintoasemilta meteorin ilmestyessä, ja tummemmat viivat näyttävät, missä se viimeksi nähtiin. Sininen nuoli näyttää meteorin näkyvän lennon.

static map
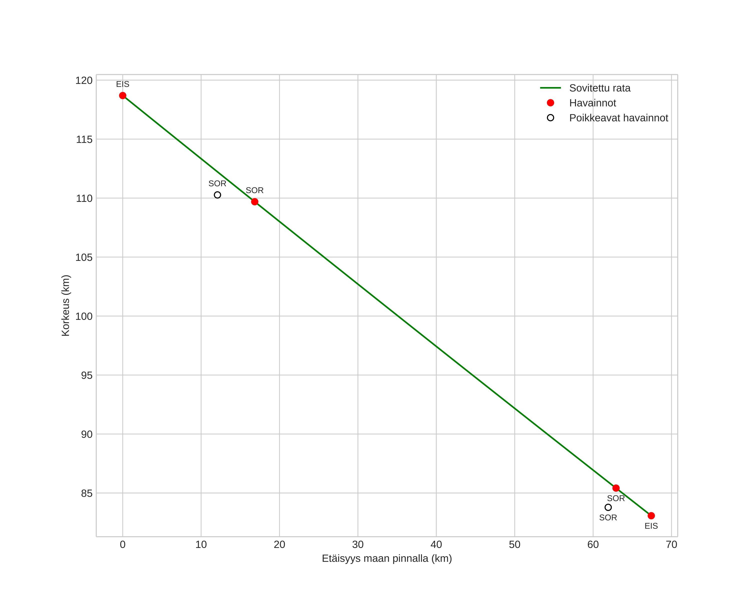
height profile
Meteorin ilmakehärata:
Alkukorkeus: 118,7 km
Loppukorkeus: 83,2 km
Alkupiste: 68,134N 17,108E
Loppupiste: 68,507N 15,820E
Suunta: 308,7°
Kallistuskulma: 27,8°
Tulonopeus: 66,2 km/s
Radiantin R,A,: 16:42 (250,6°)
Radiantin Dekl,: 12,7°
Meteoriparvi: Sporadinen
Meteoroidin rataelementit:
Perihelietäisyys: 0,896 AU
Eksentrisyys: 1,265
Inklinaatio: 120,0°
Nousevan solmun pituus: 353,6°
Perihelin argumentti: 214,7°
Keskianomalia: -3,4°
Epookki: 2024 MAR 14 01:06:15
orbit plot

Ei-interaktiivinen kuvaaja | Interaktiivinen kuvaaja

position vs time
speed and acceleration