🇳🇴 🇬🇧 🇩🇪 🇨🇿 🇫🇮

Meteor, poloha: Kautokeino 2024-03-26 20:42:36 UTC

Soubor KML  |  InteraktivnĂ­ mapa

Mapa zobrazuje dráhy meteoru. Světlejší čáry ukazují směry od pozorovacích stanic při objevení se meteoru a tmavší čáry, kde byl naposledy viděn. Modrá šipka značí viditelnou dráhu meteoru.

static map
height profile
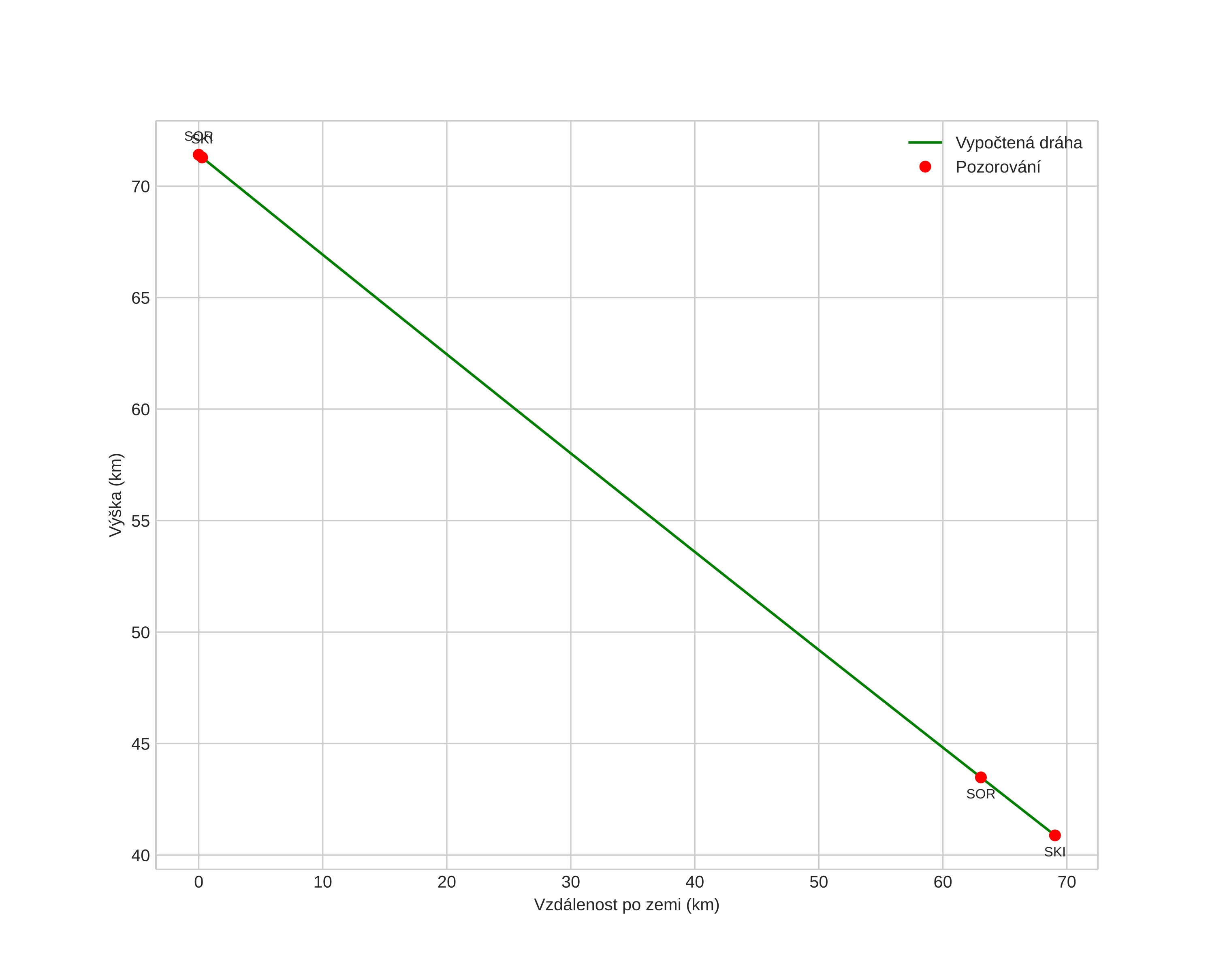
Atmosférická dráha meteoru:
Počáteční výška: 67,7 km
Konečná výška: 41,5 km
Počáteční poloha: 67,545N 22,104E
Konečná poloha: 68,040N 22,451E
Směr: 14,7°
Sklon: 24,7°
VstupnĂ­ rychlost: 15,3 km/s
Rektascenze radiantu: 09:27 (141,8°)
Deklinace radiantu: -10,3°
MeteorickĂ˝ roj: sporadickĂ˝
Elementy dráhy meteoroidu:
Vzdálenost v periheliu: 0,945 AU
Excentricita: 0,550
Sklon dráhy: 6,9°
Délka vzestupného uzlu: 186,3°
Argument perihelia: 31,6°
Střední anomálie: 352,1°
Epocha: 2024 MAR 26 20:42:36
orbit plot

NeinteraktivnĂ­ graf | InteraktivnĂ­ graf

position vs time
speed and acceleration