🇳🇴 🇬🇧 🇩🇪 🇨🇿 🇫🇮

Meteor Kautokeinon yllä 2024-03-26 20:42:36 UTC

KML-tiedosto  |  Interaktiivinen kartta

Kartta näyttää meteorin suuntahavainnot. Vaaleammat viivat näyttävät suunnat havaintoasemilta meteorin ilmestyessä, ja tummemmat viivat näyttävät, missä se viimeksi nähtiin. Sininen nuoli näyttää meteorin näkyvän lennon.

static map
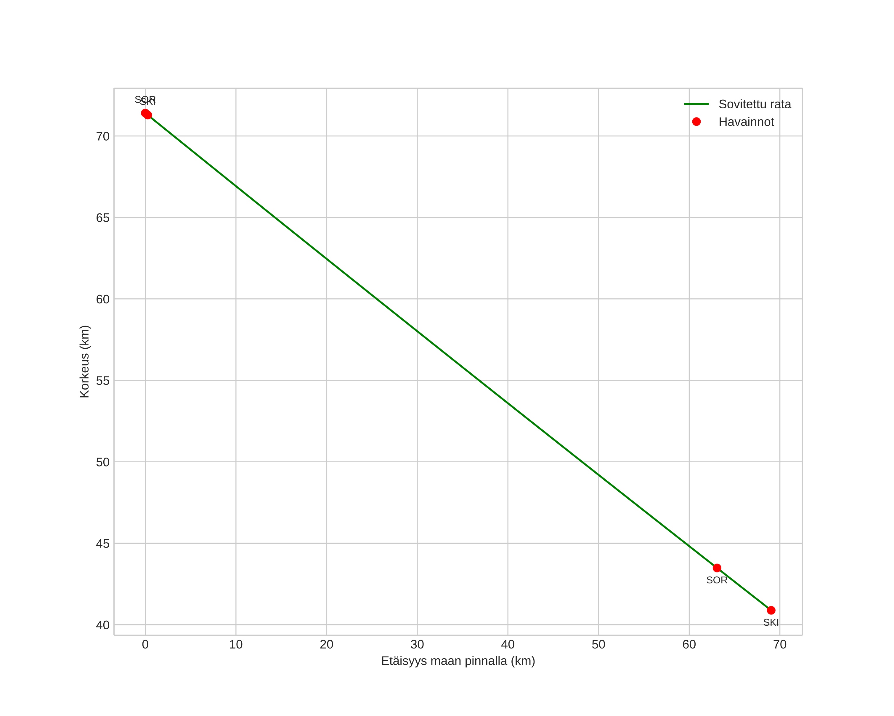
height profile
Meteorin ilmakehärata:
Alkukorkeus: 67,7 km
Loppukorkeus: 41,5 km
Alkupiste: 67,545N 22,104E
Loppupiste: 68,040N 22,451E
Suunta: 14,7°
Kallistuskulma: 24,7°
Tulonopeus: 15,3 km/s
Radiantin R,A,: 09:27 (141,8°)
Radiantin Dekl,: -10,3°
Meteoriparvi: Sporadinen
Meteoroidin rataelementit:
Perihelietäisyys: 0,945 AU
Eksentrisyys: 0,550
Inklinaatio: 6,9°
Nousevan solmun pituus: 186,3°
Perihelin argumentti: 31,6°
Keskianomalia: 352,1°
Epookki: 2024 MAR 26 20:42:36
orbit plot

Ei-interaktiivinen kuvaaja | Interaktiivinen kuvaaja

position vs time
speed and acceleration