🇳🇴 🇬🇧 🇩🇪 🇨🇿 🇫🇮

Meteor, poloha: Tromsø 2024-04-01 00:14:52 UTC

Soubor KML  |  InteraktivnĂ­ mapa

Mapa zobrazuje dráhy meteoru. Světlejší čáry ukazují směry od pozorovacích stanic při objevení se meteoru a tmavší čáry, kde byl naposledy viděn. Modrá šipka značí viditelnou dráhu meteoru.

static map
height profile
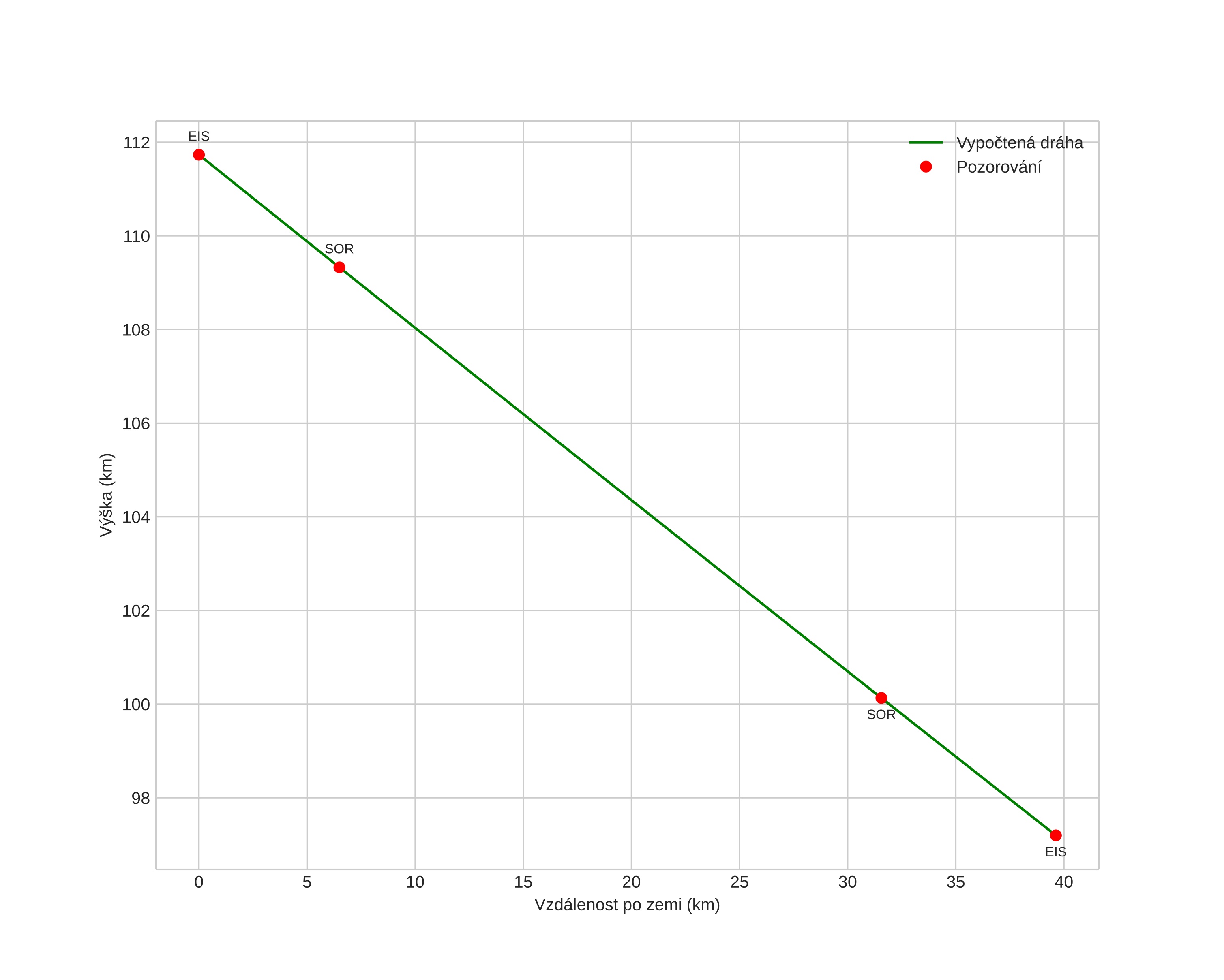
Atmosférická dráha meteoru:
Počáteční výška: 111,6 km
Konečná výška: 97,6 km
Počáteční poloha: 70,226N 19,565E
Konečná poloha: 70,136N 18,548E
Směr: 255,8°
Sklon: 19,5°
VstupnĂ­ rychlost: 53,3 km/s
Rektascenze radiantu: 20:38 (309,7°)
Deklinace radiantu: 22,2°
MeteorickĂ˝ roj: sporadickĂ˝
Elementy dráhy meteoroidu:
Vzdálenost v periheliu: 0,617 AU
Excentricita: 0,965
Sklon dráhy: 93,5°
Délka vzestupného uzlu: 11,4°
Argument perihelia: 102,8°
Střední anomálie: 0,5°
Epocha: 2024 APR 01 00:14:52
orbit plot

NeinteraktivnĂ­ graf | InteraktivnĂ­ graf

position vs time
speed and acceleration