🇳🇴 🇬🇧 🇩🇪 🇨🇿 🇫🇮

Meteor Tromsøin yllä 2024-04-01 00:14:52 UTC

KML-tiedosto  |  Interaktiivinen kartta

Kartta näyttää meteorin suuntahavainnot. Vaaleammat viivat näyttävät suunnat havaintoasemilta meteorin ilmestyessä, ja tummemmat viivat näyttävät, missä se viimeksi nähtiin. Sininen nuoli näyttää meteorin näkyvän lennon.

static map
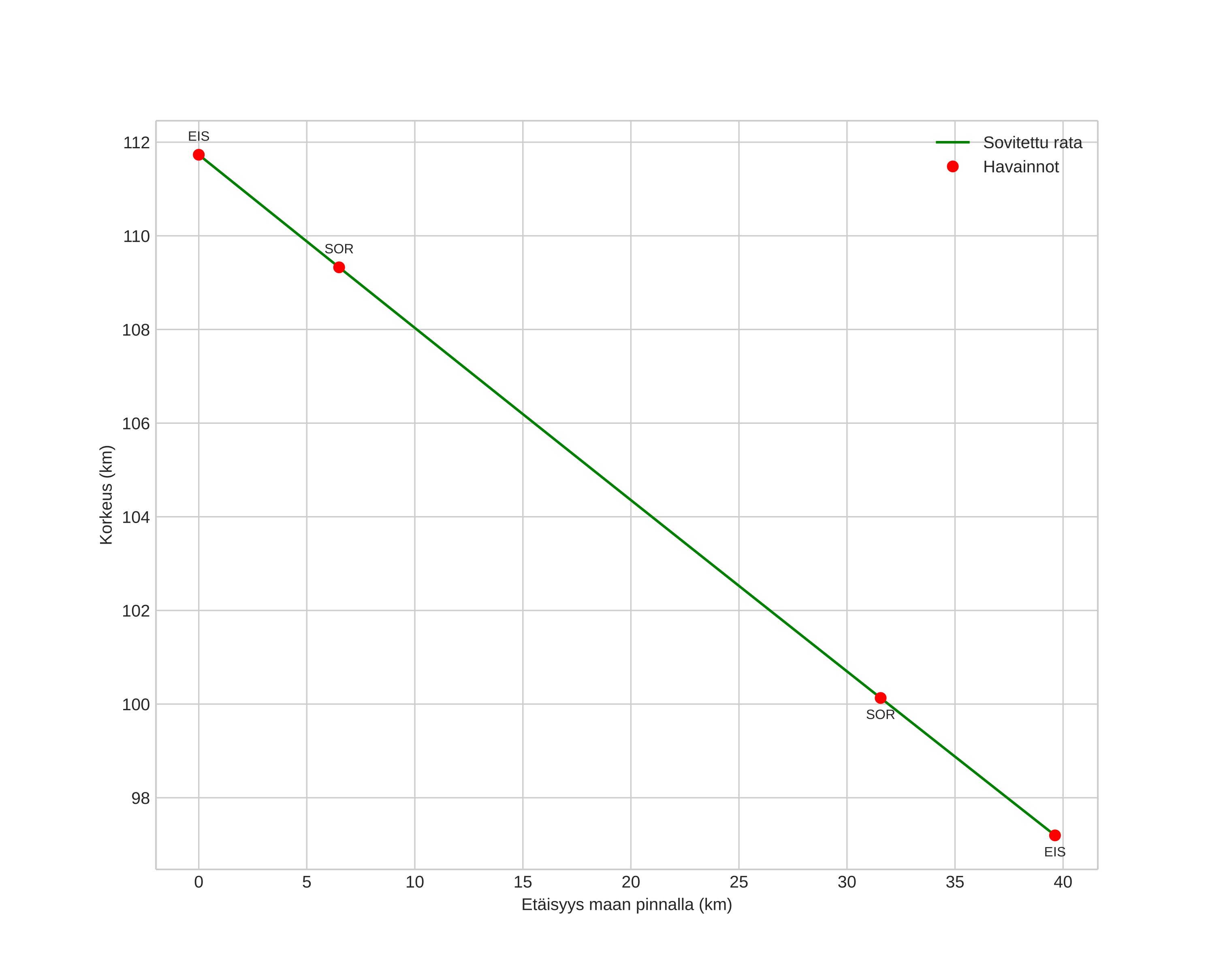
height profile
Meteorin ilmakehärata:
Alkukorkeus: 111,6 km
Loppukorkeus: 97,6 km
Alkupiste: 70,226N 19,565E
Loppupiste: 70,136N 18,548E
Suunta: 255,8°
Kallistuskulma: 19,5°
Tulonopeus: 53,3 km/s
Radiantin R,A,: 20:38 (309,7°)
Radiantin Dekl,: 22,2°
Meteoriparvi: Sporadinen
Meteoroidin rataelementit:
Perihelietäisyys: 0,617 AU
Eksentrisyys: 0,965
Inklinaatio: 93,5°
Nousevan solmun pituus: 11,4°
Perihelin argumentti: 102,8°
Keskianomalia: 0,5°
Epookki: 2024 APR 01 00:14:52
orbit plot

Ei-interaktiivinen kuvaaja | Interaktiivinen kuvaaja

position vs time
speed and acceleration