🇳🇴 🇬🇧 🇩🇪 🇨🇿 🇫🇮

Meteor, poloha: Andenes 2024-04-02 01:01:16 UTC

Soubor KML  |  InteraktivnĂ­ mapa

Mapa zobrazuje dráhy meteoru. Světlejší čáry ukazují směry od pozorovacích stanic při objevení se meteoru a tmavší čáry, kde byl naposledy viděn. Modrá šipka značí viditelnou dráhu meteoru.

static map
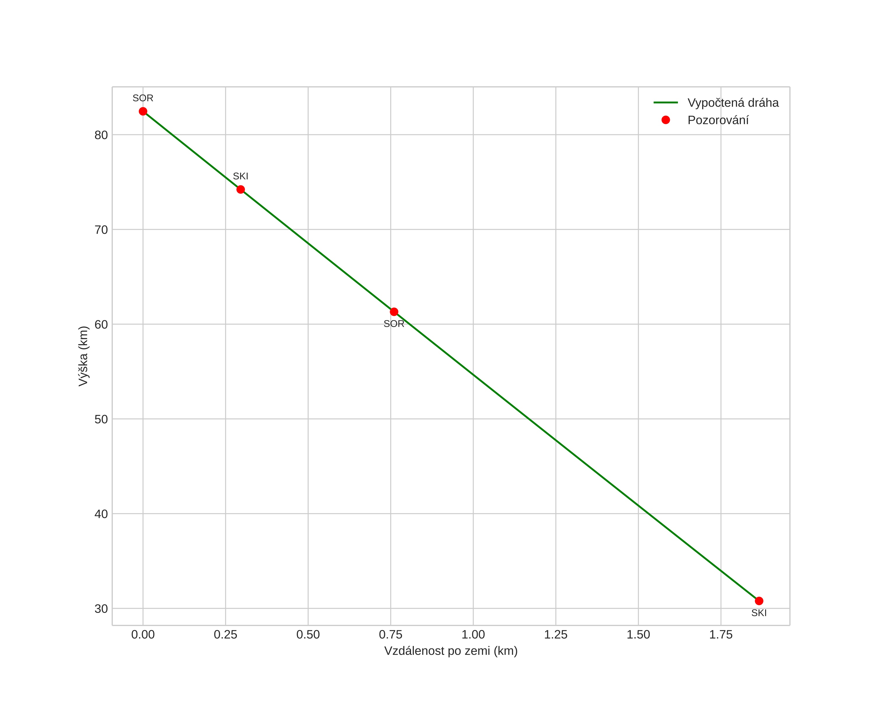
height profile
Atmosférická dráha meteoru:
Počáteční výška: 82,5 km
Konečná výška: 30,6 km
Počáteční poloha: 70,773N 16,059E
Konečná poloha: 70,771N 16,032E
Směr: 256,0°
Sklon: 88,9°
VstupnĂ­ rychlost: 19,2 km/s
Rektascenze radiantu: 14:57 (224,3°)
Deklinace radiantu: 71,0°
MeteorickĂ˝ roj: sporadickĂ˝
Elementy dráhy meteoroidu:
Vzdálenost v periheliu: 0,993 AU
Excentricita: 0,502
Sklon dráhy: 24,3°
Délka vzestupného uzlu: 12,5°
Argument perihelia: 191,7°
Střední anomálie: 356,6°
Epocha: 2024 APR 02 01:01:16
orbit plot

NeinteraktivnĂ­ graf | InteraktivnĂ­ graf

position vs time
speed and acceleration