🇳🇴 🇬🇧 🇩🇪 🇨🇿 🇫🇮

Meteor Andenesin yllä 2024-04-02 01:01:16 UTC

KML-tiedosto  |  Interaktiivinen kartta

Kartta näyttää meteorin suuntahavainnot. Vaaleammat viivat näyttävät suunnat havaintoasemilta meteorin ilmestyessä, ja tummemmat viivat näyttävät, missä se viimeksi nähtiin. Sininen nuoli näyttää meteorin näkyvän lennon.

static map
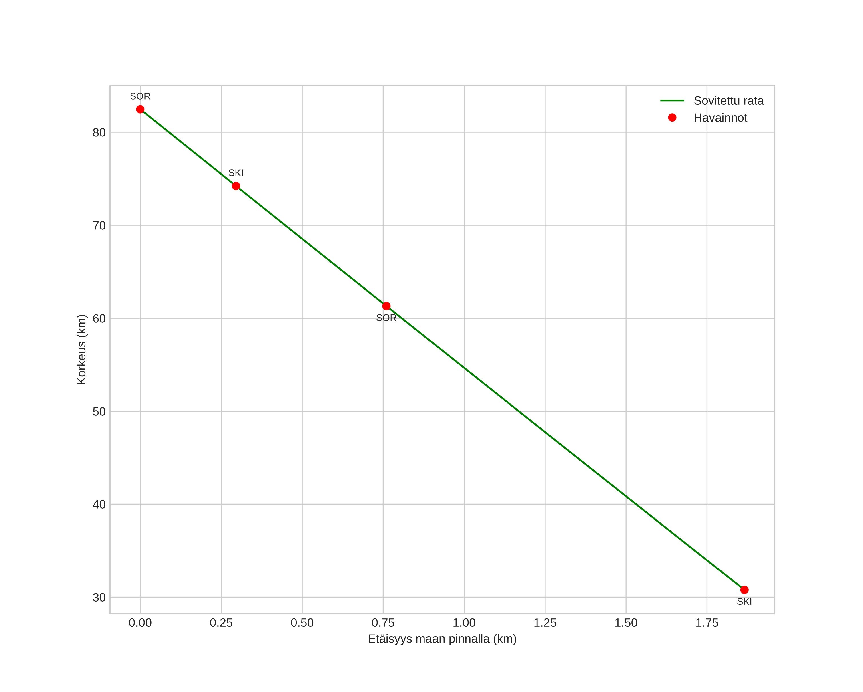
height profile
Meteorin ilmakehärata:
Alkukorkeus: 82,5 km
Loppukorkeus: 30,6 km
Alkupiste: 70,773N 16,059E
Loppupiste: 70,771N 16,032E
Suunta: 256,0°
Kallistuskulma: 88,9°
Tulonopeus: 19,2 km/s
Radiantin R,A,: 14:57 (224,3°)
Radiantin Dekl,: 71,0°
Meteoriparvi: Sporadinen
Meteoroidin rataelementit:
Perihelietäisyys: 0,993 AU
Eksentrisyys: 0,502
Inklinaatio: 24,3°
Nousevan solmun pituus: 12,5°
Perihelin argumentti: 191,7°
Keskianomalia: 356,6°
Epookki: 2024 APR 02 01:01:16
orbit plot

Ei-interaktiivinen kuvaaja | Interaktiivinen kuvaaja

position vs time
speed and acceleration