🇳🇴 🇬🇧 🇩🇪 🇨🇿 🇫🇮

Meteor, poloha: Narvik 2024-04-04 00:12:16 UTC

Soubor KML  |  InteraktivnĂ­ mapa

Mapa zobrazuje dráhy meteoru. Světlejší čáry ukazují směry od pozorovacích stanic při objevení se meteoru a tmavší čáry, kde byl naposledy viděn. Modrá šipka značí viditelnou dráhu meteoru.

static map
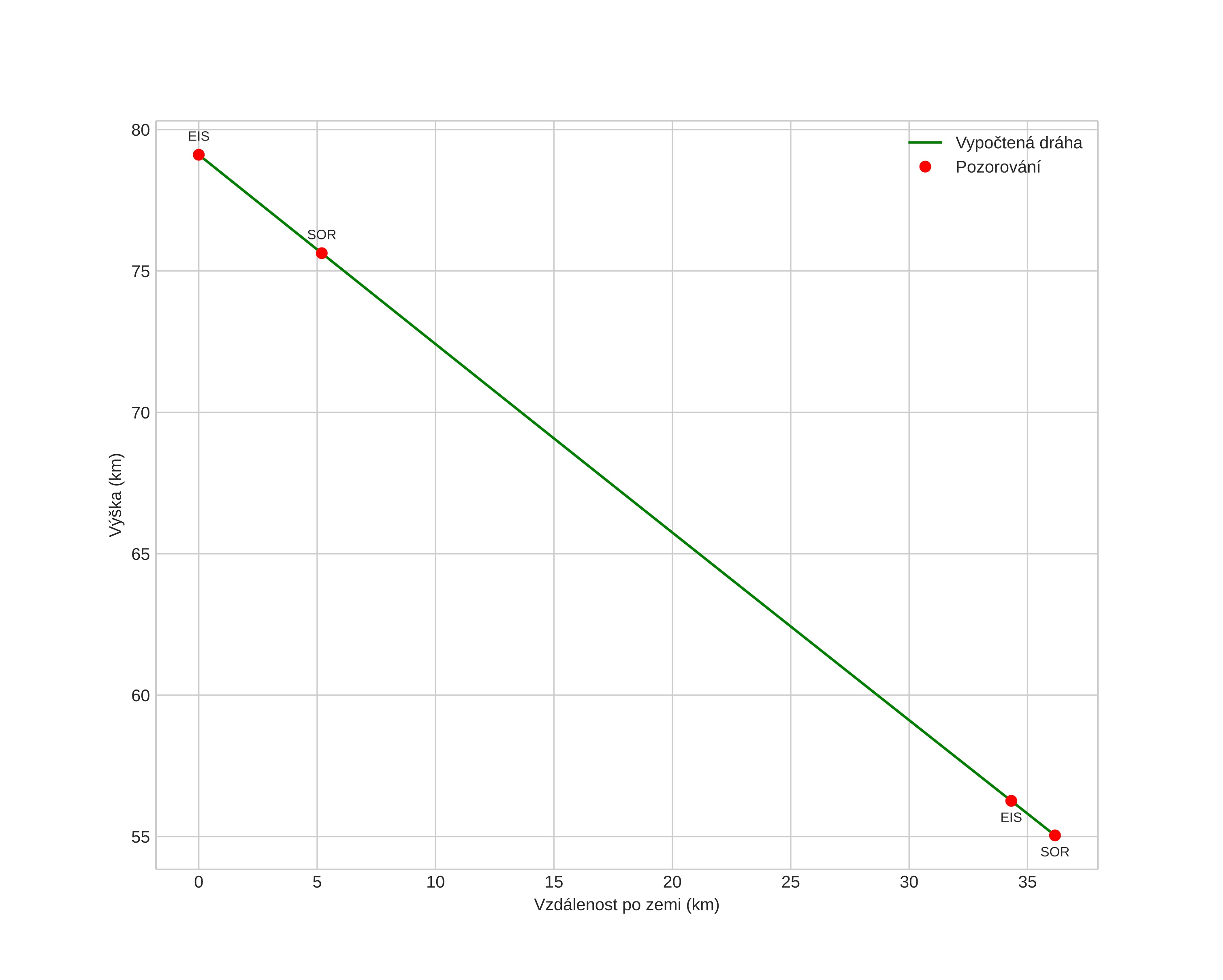
height profile
Atmosférická dráha meteoru:
Počáteční výška: 77,9 km
Konečná výška: 55,8 km
Počáteční poloha: 67,719N 16,779E
Konečná poloha: 67,964N 17,146E
Směr: 29,4°
Sklon: 35,3°
VstupnĂ­ rychlost: 18,9 km/s
Rektascenze radiantu: 12:24 (186,0°)
Deklinace radiantu: 9,4°
MeteorickĂ˝ roj: sporadickĂ˝
Elementy dráhy meteoroidu:
Vzdálenost v periheliu: 0,784 AU
Excentricita: 0,588
Sklon dráhy: 5,1°
Délka vzestupného uzlu: 14,4°
Argument perihelia: 245,4°
Střední anomálie: 343,7°
Epocha: 2024 APR 04 00:12:16
orbit plot

NeinteraktivnĂ­ graf | InteraktivnĂ­ graf

position vs time
speed and acceleration