🇳🇴 🇬🇧 🇩🇪 🇨🇿 🇫🇮

Meteor Narvikin yllä 2024-04-04 00:12:16 UTC

KML-tiedosto  |  Interaktiivinen kartta

Kartta näyttää meteorin suuntahavainnot. Vaaleammat viivat näyttävät suunnat havaintoasemilta meteorin ilmestyessä, ja tummemmat viivat näyttävät, missä se viimeksi nähtiin. Sininen nuoli näyttää meteorin näkyvän lennon.

static map
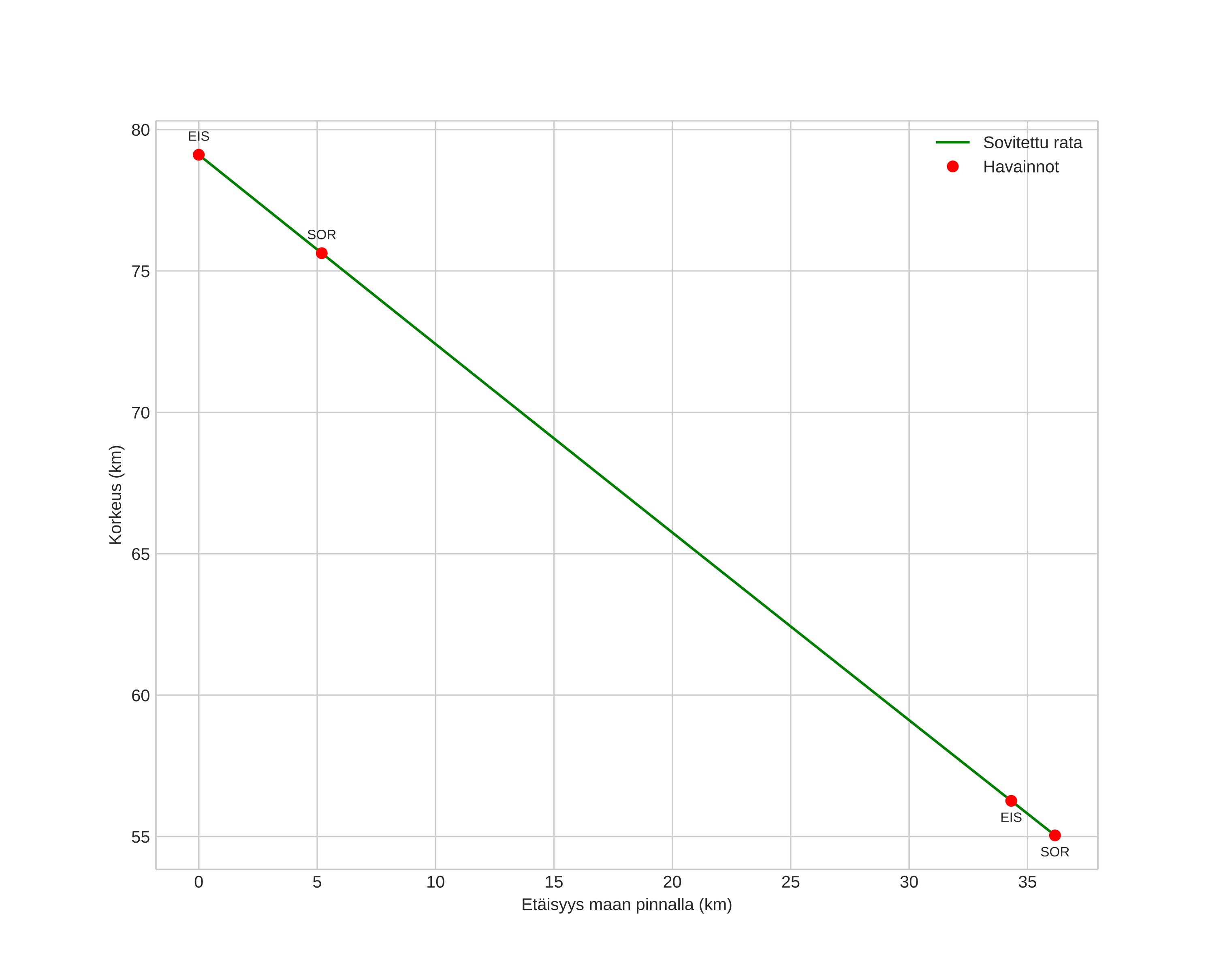
height profile
Meteorin ilmakehärata:
Alkukorkeus: 77,9 km
Loppukorkeus: 55,8 km
Alkupiste: 67,719N 16,779E
Loppupiste: 67,964N 17,146E
Suunta: 29,4°
Kallistuskulma: 35,3°
Tulonopeus: 18,9 km/s
Radiantin R,A,: 12:24 (186,0°)
Radiantin Dekl,: 9,4°
Meteoriparvi: Sporadinen
Meteoroidin rataelementit:
Perihelietäisyys: 0,784 AU
Eksentrisyys: 0,588
Inklinaatio: 5,1°
Nousevan solmun pituus: 14,4°
Perihelin argumentti: 245,4°
Keskianomalia: 343,7°
Epookki: 2024 APR 04 00:12:16
orbit plot

Ei-interaktiivinen kuvaaja | Interaktiivinen kuvaaja

position vs time
speed and acceleration