🇳🇴 🇬🇧 🇩🇪 🇨🇿 🇫🇮

Meteor, poloha: Jevnaker 2024-04-16 01:17:59 UTC

Soubor KML  |  InteraktivnĂ­ mapa

Mapa zobrazuje dráhy meteoru. Světlejší čáry ukazují směry od pozorovacích stanic při objevení se meteoru a tmavší čáry, kde byl naposledy viděn. Modrá šipka značí viditelnou dráhu meteoru.

static map
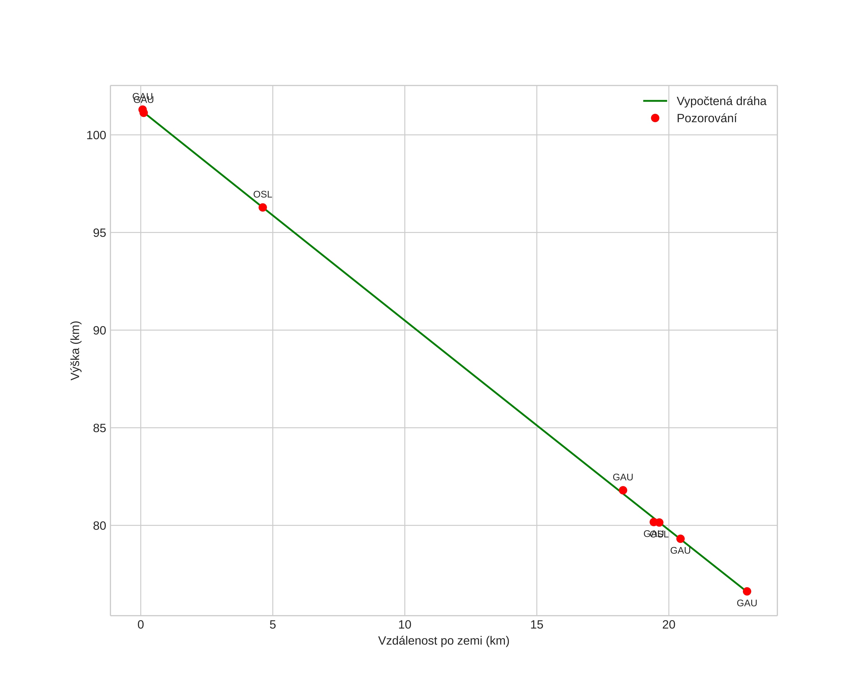
height profile
Atmosférická dráha meteoru:
Počáteční výška: 102,7 km
Konečná výška: 73,6 km
Počáteční poloha: 60,318N 10,814E
Konečná poloha: 60,239N 10,317E
Směr: 252,5°
Sklon: 45,4°
VstupnĂ­ rychlost: 47,3 km/s
Rektascenze radiantu: 20:43 (311,0°)
Deklinace radiantu: 45,9°
MeteorickĂ˝ roj: sporadickĂ˝
Elementy dráhy meteoroidu:
Vzdálenost v periheliu: 0,894 AU
Excentricita: 1,195
Sklon dráhy: 72,7°
Délka vzestupného uzlu: 26,2°
Argument perihelia: 143,2°
Střední anomálie: 2,3°
Epocha: 2024 APR 16 01:17:59
orbit plot

NeinteraktivnĂ­ graf | InteraktivnĂ­ graf

position vs time
speed and acceleration