🇳🇴 🇬🇧 🇩🇪 🇨🇿 🇫🇮

Meteor Jevnakerin yllä 2024-04-16 01:17:59 UTC

KML-tiedosto  |  Interaktiivinen kartta

Kartta näyttää meteorin suuntahavainnot. Vaaleammat viivat näyttävät suunnat havaintoasemilta meteorin ilmestyessä, ja tummemmat viivat näyttävät, missä se viimeksi nähtiin. Sininen nuoli näyttää meteorin näkyvän lennon.

static map
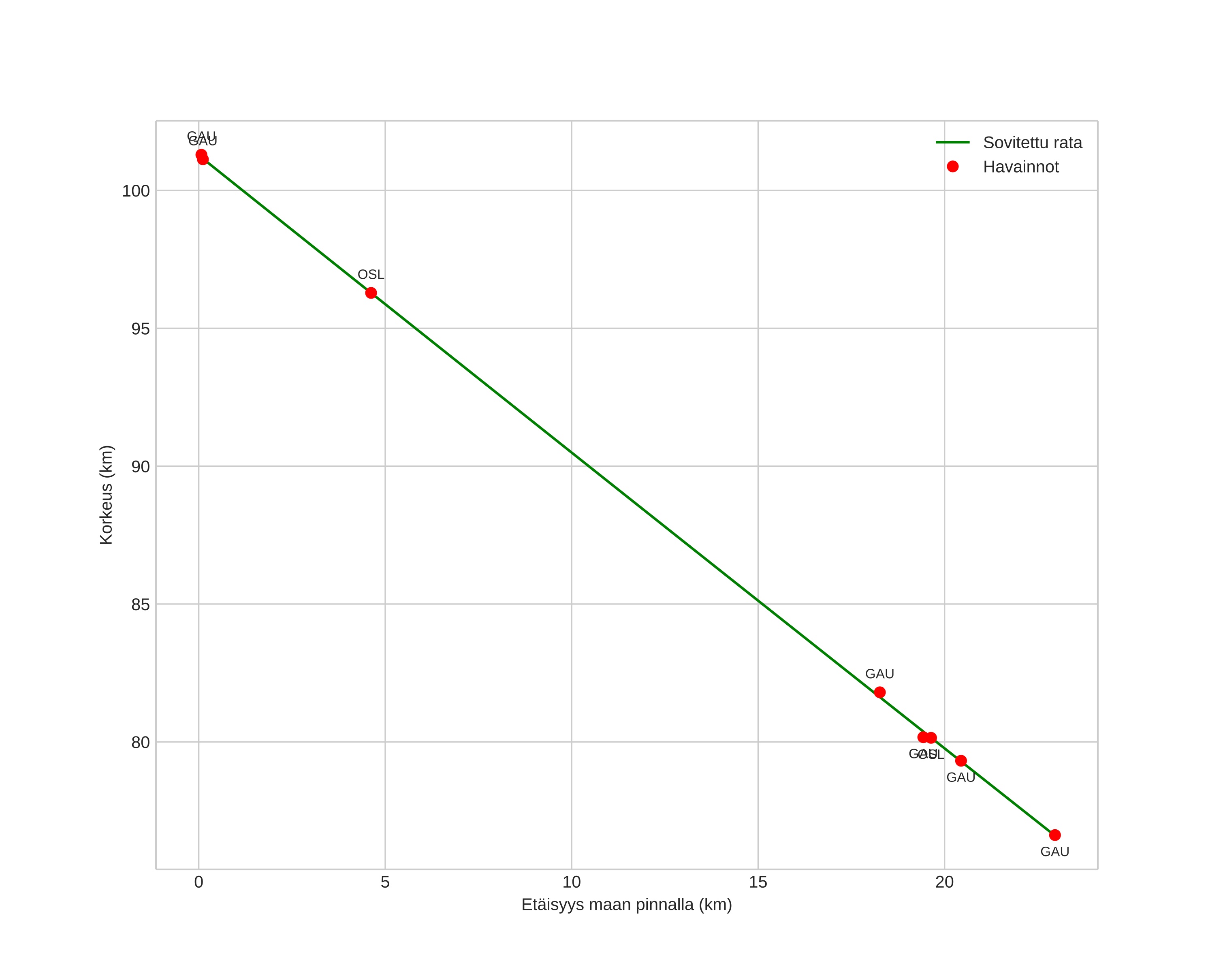
height profile
Meteorin ilmakehärata:
Alkukorkeus: 102,7 km
Loppukorkeus: 73,6 km
Alkupiste: 60,318N 10,814E
Loppupiste: 60,239N 10,317E
Suunta: 252,5°
Kallistuskulma: 45,4°
Tulonopeus: 47,3 km/s
Radiantin R,A,: 20:43 (311,0°)
Radiantin Dekl,: 45,9°
Meteoriparvi: Sporadinen
Meteoroidin rataelementit:
Perihelietäisyys: 0,894 AU
Eksentrisyys: 1,195
Inklinaatio: 72,7°
Nousevan solmun pituus: 26,2°
Perihelin argumentti: 143,2°
Keskianomalia: 2,3°
Epookki: 2024 APR 16 01:17:59
orbit plot

Ei-interaktiivinen kuvaaja | Interaktiivinen kuvaaja

position vs time
speed and acceleration