🇳🇴 🇬🇧 🇩🇪 🇨🇿 🇫🇮

Meteor, poloha: Segalstad bru 2024-04-18 00:03:16 UTC

Soubor KML  |  InteraktivnĂ­ mapa

Mapa zobrazuje dráhy meteoru. Světlejší čáry ukazují směry od pozorovacích stanic při objevení se meteoru a tmavší čáry, kde byl naposledy viděn. Modrá šipka značí viditelnou dráhu meteoru.

static map
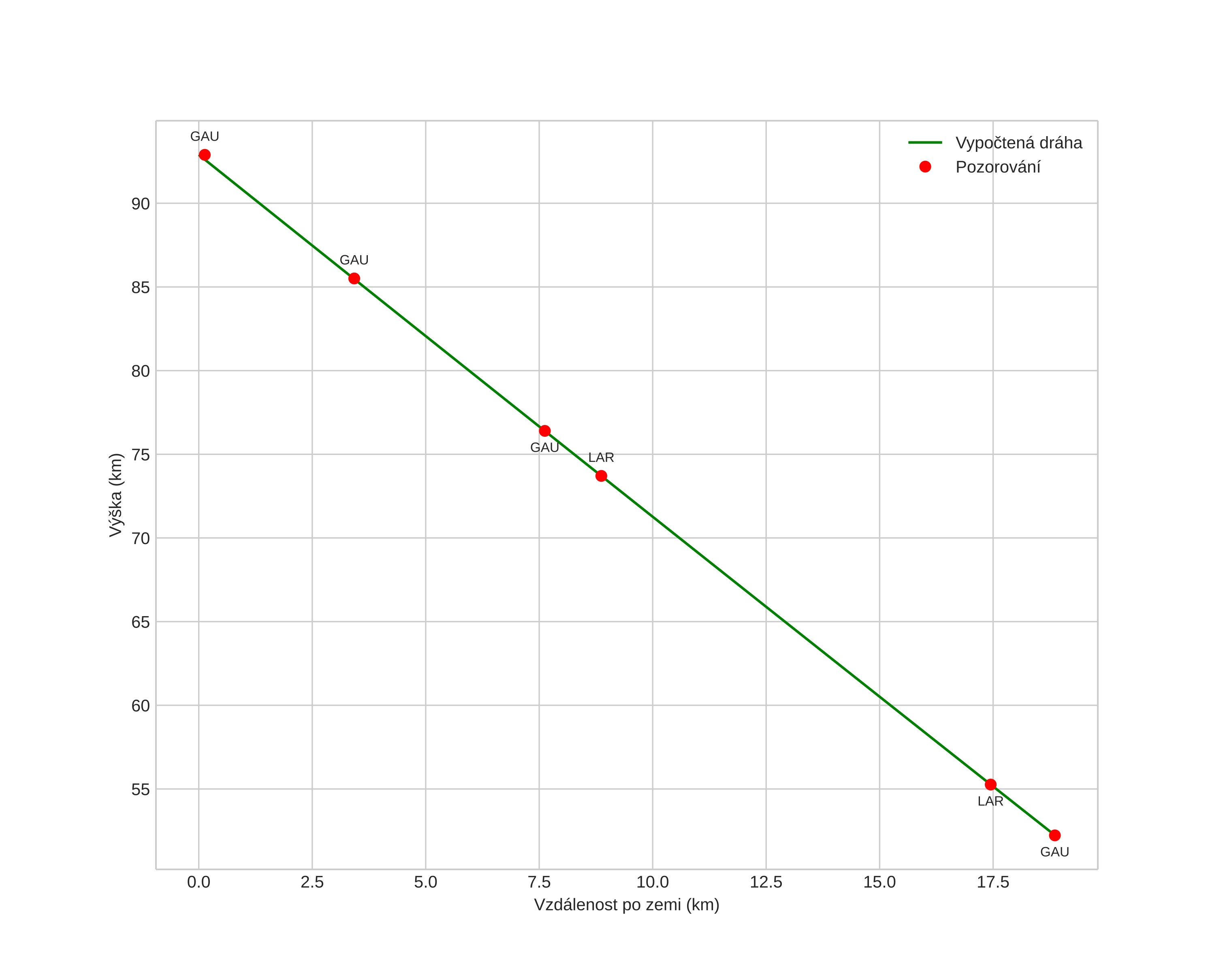
height profile
Atmosférická dráha meteoru:
Počáteční výška: 89,3 km
Konečná výška: 51,9 km
Počáteční poloha: 61,060N 10,123E
Konečná poloha: 61,198N 10,265E
Směr: 26,3°
Sklon: 65,4°
VstupnĂ­ rychlost: 19,7 km/s
Rektascenze radiantu: 13:28 (202,1°)
Deklinace radiantu: 35,5°
MeteorickĂ˝ roj: sporadickĂ˝
Elementy dráhy meteoroidu:
Vzdálenost v periheliu: 0,902 AU
Excentricita: 0,662
Sklon dráhy: 17,0°
Délka vzestupného uzlu: 28,1°
Argument perihelia: 221,8°
Střední anomálie: 353,1°
Epocha: 2024 APR 18 00:03:16
orbit plot

NeinteraktivnĂ­ graf | InteraktivnĂ­ graf

position vs time
speed and acceleration