🇳🇴 🇬🇧 🇩🇪 🇨🇿 🇫🇮

Meteor Segalstad brun yllä 2024-04-18 00:03:16 UTC

KML-tiedosto  |  Interaktiivinen kartta

Kartta näyttää meteorin suuntahavainnot. Vaaleammat viivat näyttävät suunnat havaintoasemilta meteorin ilmestyessä, ja tummemmat viivat näyttävät, missä se viimeksi nähtiin. Sininen nuoli näyttää meteorin näkyvän lennon.

static map
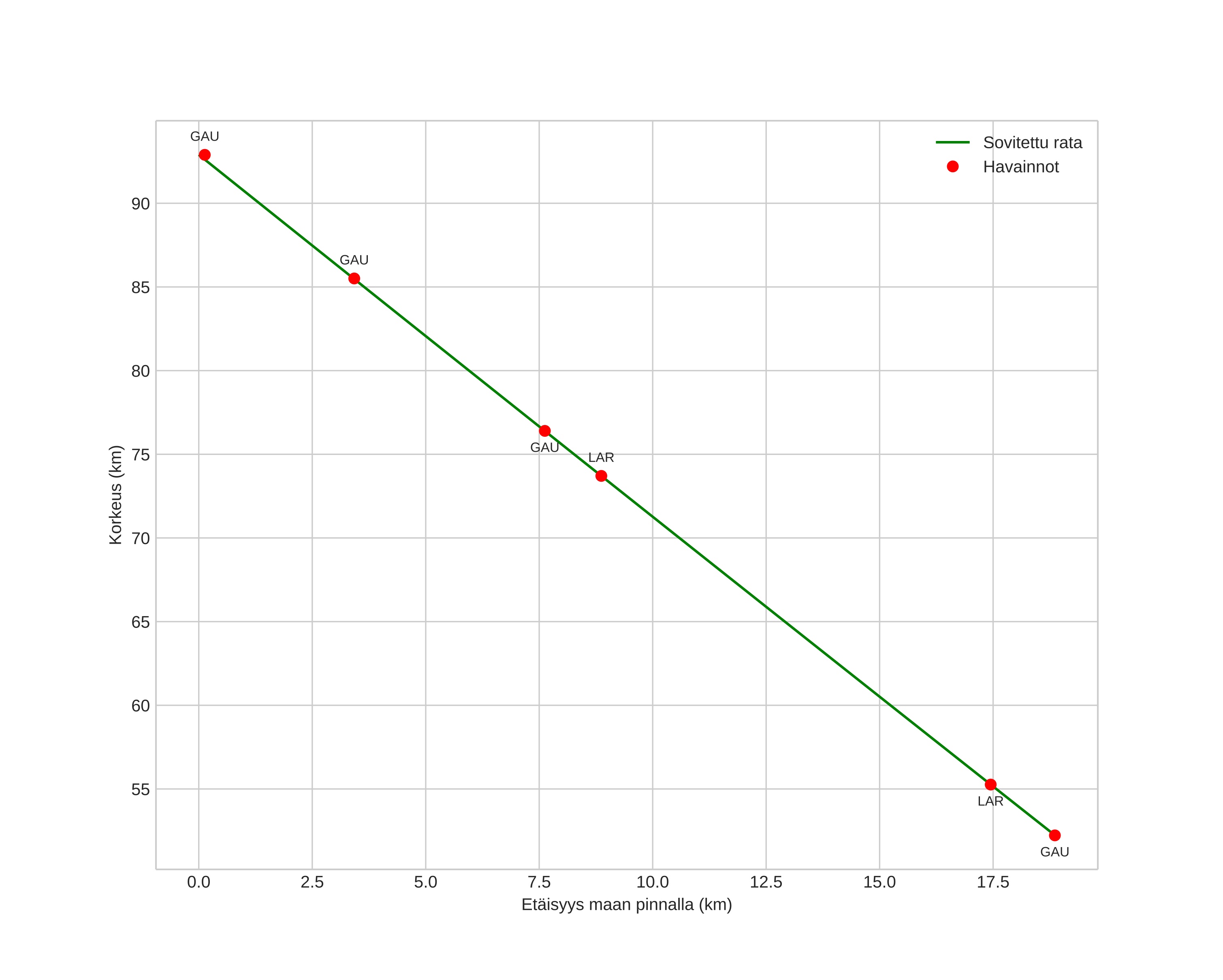
height profile
Meteorin ilmakehärata:
Alkukorkeus: 89,3 km
Loppukorkeus: 51,9 km
Alkupiste: 61,060N 10,123E
Loppupiste: 61,198N 10,265E
Suunta: 26,3°
Kallistuskulma: 65,4°
Tulonopeus: 19,7 km/s
Radiantin R,A,: 13:28 (202,1°)
Radiantin Dekl,: 35,5°
Meteoriparvi: Sporadinen
Meteoroidin rataelementit:
Perihelietäisyys: 0,902 AU
Eksentrisyys: 0,662
Inklinaatio: 17,0°
Nousevan solmun pituus: 28,1°
Perihelin argumentti: 221,8°
Keskianomalia: 353,1°
Epookki: 2024 APR 18 00:03:16
orbit plot

Ei-interaktiivinen kuvaaja | Interaktiivinen kuvaaja

position vs time
speed and acceleration