🇳🇴 🇬🇧 🇩🇪 🇨🇿 🇫🇮

Meteor, poloha: Herre 2024-04-21 21:44:22 UTC

Soubor KML  |  InteraktivnĂ­ mapa

Mapa zobrazuje dráhy meteoru. Světlejší čáry ukazují směry od pozorovacích stanic při objevení se meteoru a tmavší čáry, kde byl naposledy viděn. Modrá šipka značí viditelnou dráhu meteoru.

static map
height profile
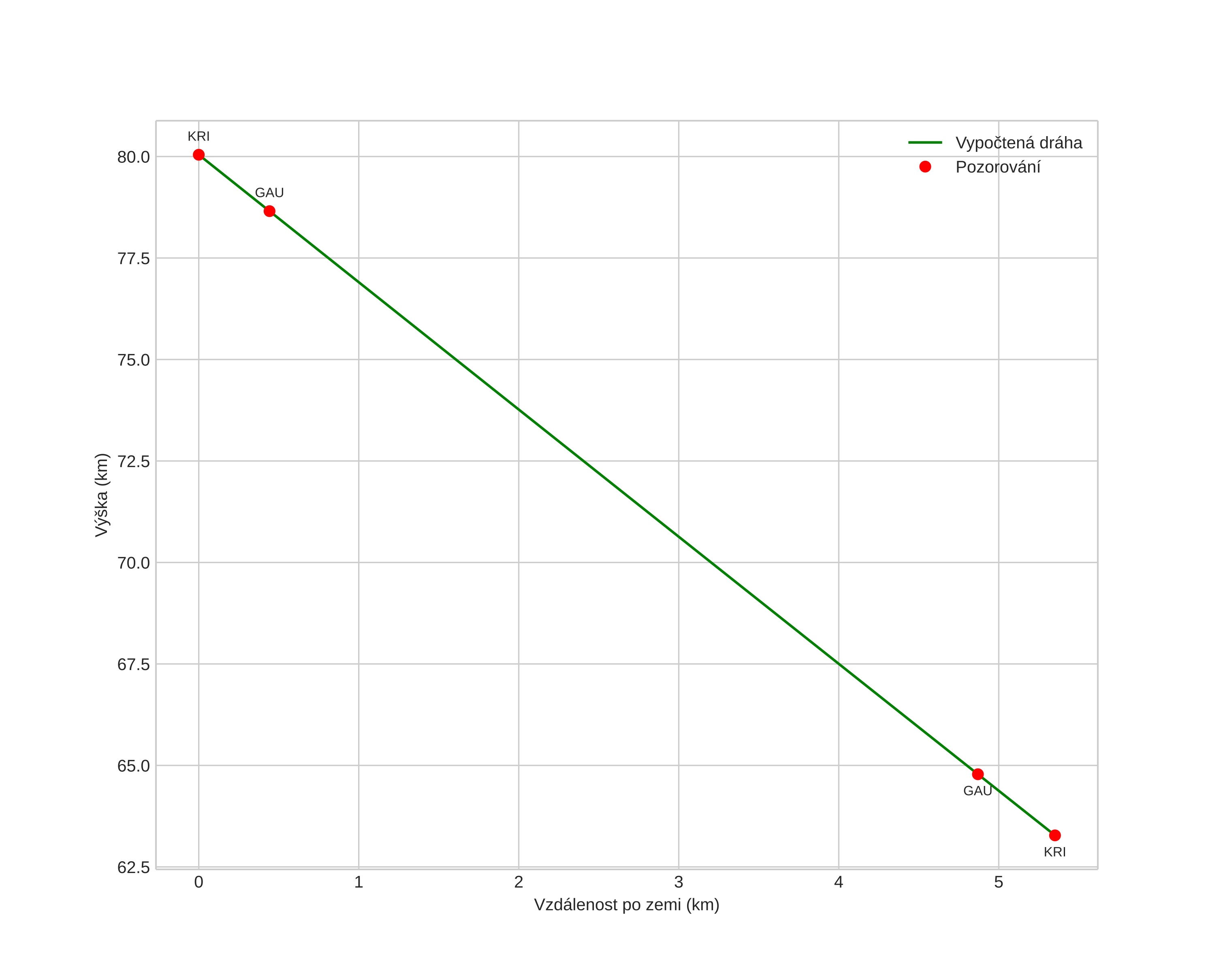
Atmosférická dráha meteoru:
Počáteční výška: 79,7 km
Konečná výška: 63,3 km
Počáteční poloha: 59,206N 9,451E
Konečná poloha: 59,158N 9,467E
Směr: 170,4°
Sklon: 71,8°
VstupnĂ­ rychlost: 16,6 km/s
Rektascenze radiantu: 10:49 (162,3°)
Deklinace radiantu: 78,9°
MeteorickĂ˝ roj: sporadickĂ˝
Elementy dráhy meteoroidu:
Vzdálenost v periheliu: 1,003 AU
Excentricita: 0,558
Sklon dráhy: 16,9°
Délka vzestupného uzlu: 31,9°
Argument perihelia: 173,8°
Střední anomálie: 1,5°
Epocha: 2024 APR 21 21:44:22
orbit plot

NeinteraktivnĂ­ graf | InteraktivnĂ­ graf

position vs time
speed and acceleration