🇳🇴 🇬🇧 🇩🇪 🇨🇿 🇫🇮

Meteor Herren yllä 2024-04-21 21:44:22 UTC

KML-tiedosto  |  Interaktiivinen kartta

Kartta näyttää meteorin suuntahavainnot. Vaaleammat viivat näyttävät suunnat havaintoasemilta meteorin ilmestyessä, ja tummemmat viivat näyttävät, missä se viimeksi nähtiin. Sininen nuoli näyttää meteorin näkyvän lennon.

static map
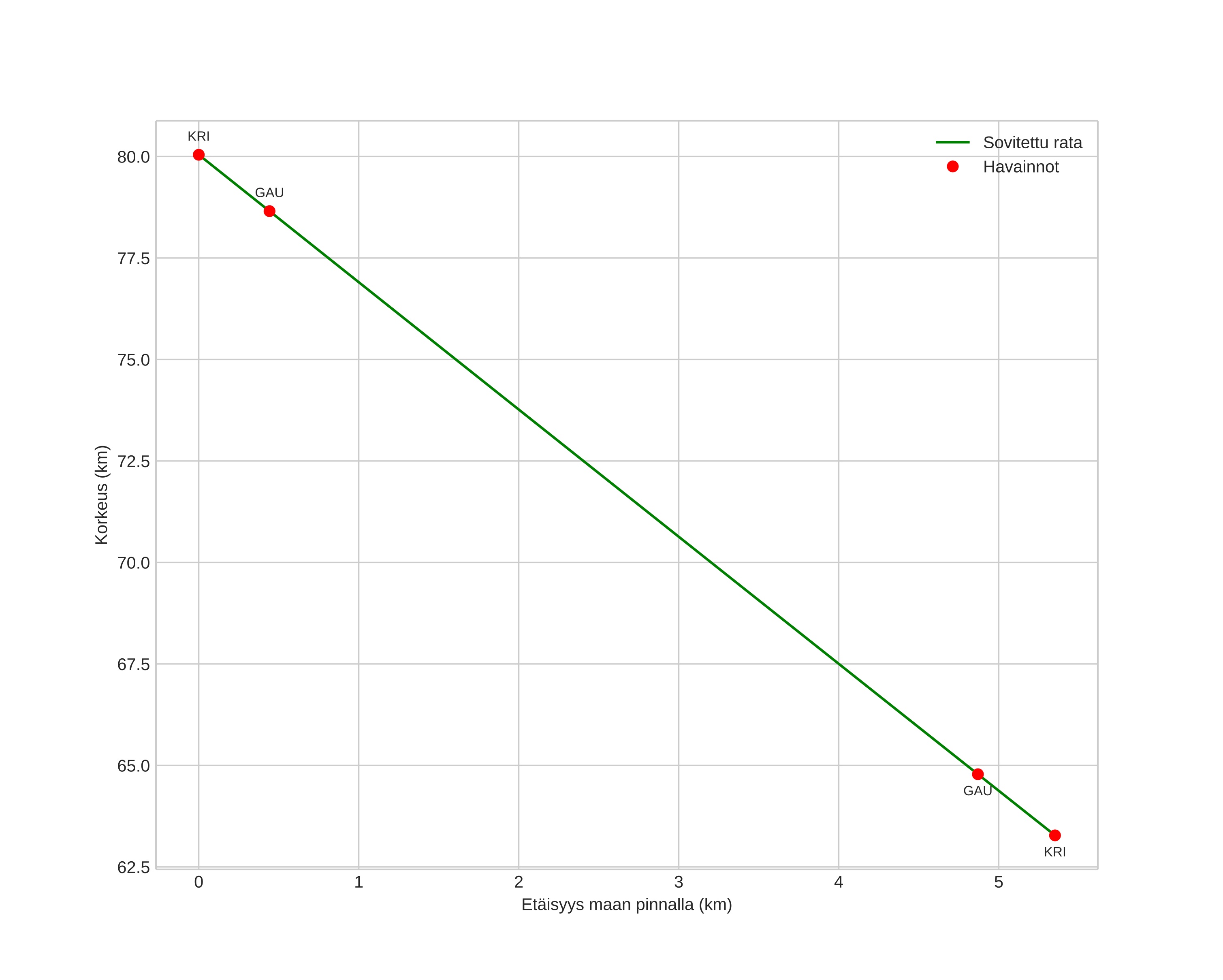
height profile
Meteorin ilmakehärata:
Alkukorkeus: 79,7 km
Loppukorkeus: 63,3 km
Alkupiste: 59,206N 9,451E
Loppupiste: 59,158N 9,467E
Suunta: 170,4°
Kallistuskulma: 71,8°
Tulonopeus: 16,6 km/s
Radiantin R,A,: 10:49 (162,3°)
Radiantin Dekl,: 78,9°
Meteoriparvi: Sporadinen
Meteoroidin rataelementit:
Perihelietäisyys: 1,003 AU
Eksentrisyys: 0,558
Inklinaatio: 16,9°
Nousevan solmun pituus: 31,9°
Perihelin argumentti: 173,8°
Keskianomalia: 1,5°
Epookki: 2024 APR 21 21:44:22
orbit plot

Ei-interaktiivinen kuvaaja | Interaktiivinen kuvaaja

position vs time
speed and acceleration