🇳🇴 🇬🇧 🇩🇪 🇨🇿 🇫🇮

Meteor, poloha: Skärhamn 2024-04-21 22:31:28 UTC

Soubor KML  |  InteraktivnĂ­ mapa

Mapa zobrazuje dráhy meteoru. Světlejší čáry ukazují směry od pozorovacích stanic při objevení se meteoru a tmavší čáry, kde byl naposledy viděn. Modrá šipka značí viditelnou dráhu meteoru.

static map
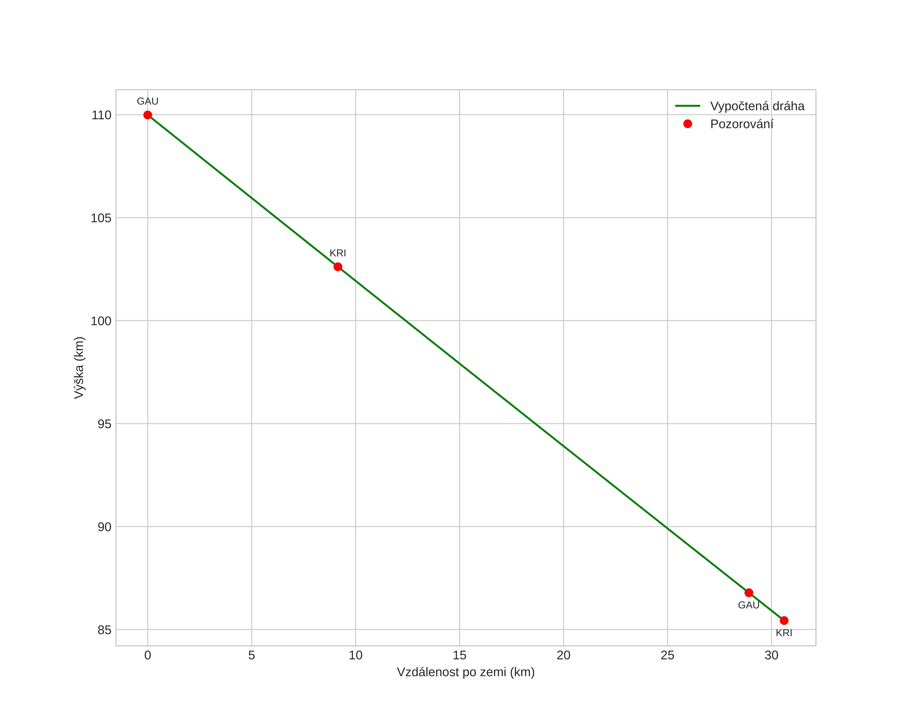
height profile
Atmosférická dráha meteoru:
Počáteční výška: 102,6 km
Konečná výška: 84,0 km
Počáteční poloha: 57,904N 11,525E
Konečná poloha: 57,891N 11,120E
Směr: 266,7°
Sklon: 37,8°
VstupnĂ­ rychlost: 54,5 km/s
Rektascenze radiantu: 17:59 (269,9°)
Deklinace radiantu: 32,5°
MeteorickĂ˝ roj: Lyridy
Elementy dráhy meteoroidu:
Vzdálenost v periheliu: 0,913 AU
Excentricita: 1,446
Sklon dráhy: 84,2°
Délka vzestupného uzlu: 32,0°
Argument perihelia: 212,3°
Střední anomálie: -6,6°
Epocha: 2024 APR 21 22:31:28
orbit plot

NeinteraktivnĂ­ graf | InteraktivnĂ­ graf

position vs time
speed and acceleration