🇳🇴 🇬🇧 🇩🇪 🇨🇿 🇫🇮

Meteor Skärhamnin yllä 2024-04-21 22:31:28 UTC

KML-tiedosto  |  Interaktiivinen kartta

Kartta näyttää meteorin suuntahavainnot. Vaaleammat viivat näyttävät suunnat havaintoasemilta meteorin ilmestyessä, ja tummemmat viivat näyttävät, missä se viimeksi nähtiin. Sininen nuoli näyttää meteorin näkyvän lennon.

static map
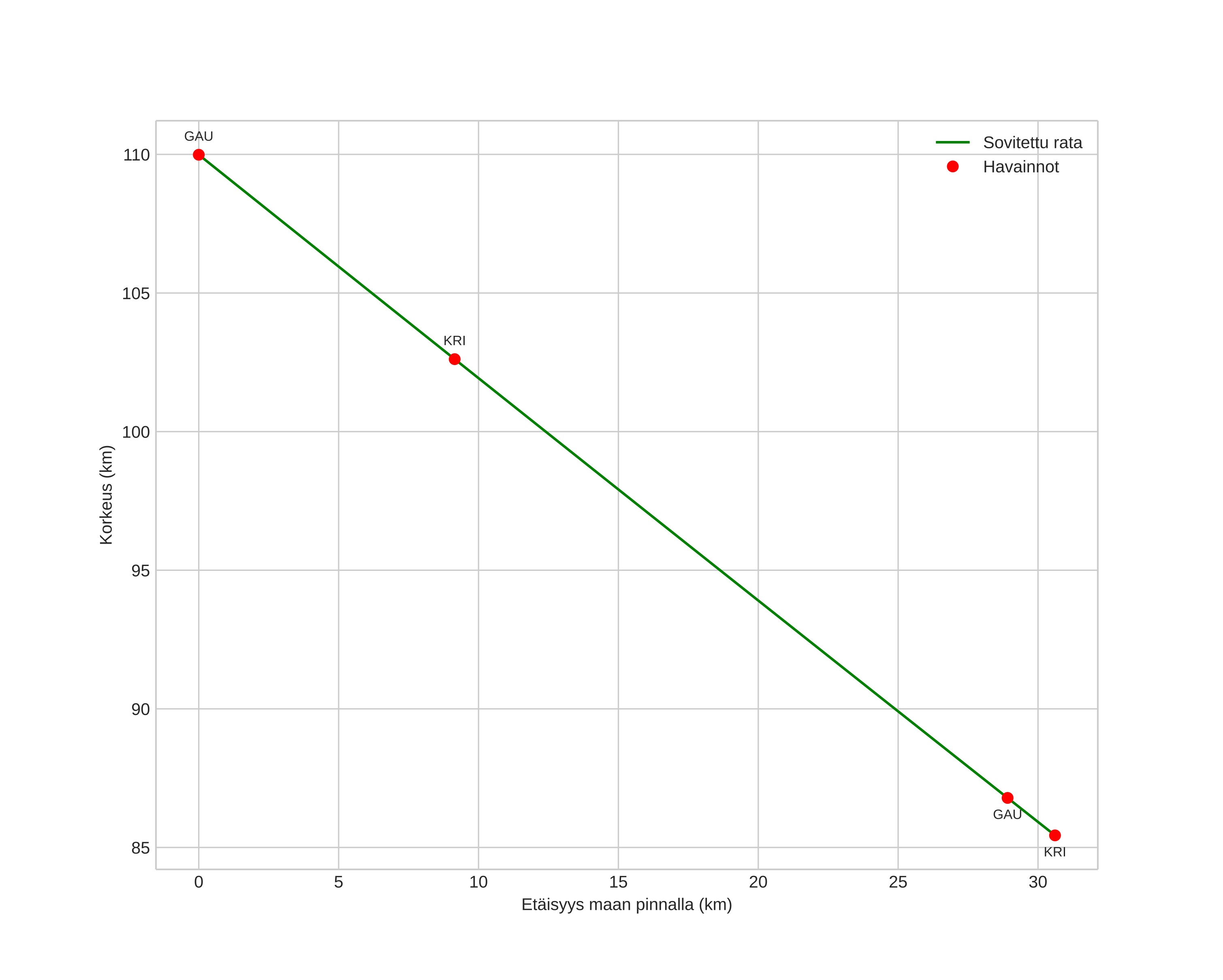
height profile
Meteorin ilmakehärata:
Alkukorkeus: 102,6 km
Loppukorkeus: 84,0 km
Alkupiste: 57,904N 11,525E
Loppupiste: 57,891N 11,120E
Suunta: 266,7°
Kallistuskulma: 37,8°
Tulonopeus: 54,5 km/s
Radiantin R,A,: 17:59 (269,9°)
Radiantin Dekl,: 32,5°
Meteoriparvi: Lyridit
Meteoroidin rataelementit:
Perihelietäisyys: 0,913 AU
Eksentrisyys: 1,446
Inklinaatio: 84,2°
Nousevan solmun pituus: 32,0°
Perihelin argumentti: 212,3°
Keskianomalia: -6,6°
Epookki: 2024 APR 21 22:31:28
orbit plot

Ei-interaktiivinen kuvaaja | Interaktiivinen kuvaaja

position vs time
speed and acceleration