🇳🇴 🇬🇧 🇩🇪 🇨🇿 🇫🇮

Meteor, poloha: Hunnebostrand 2024-04-22 00:16:51 UTC

Soubor KML  |  InteraktivnĂ­ mapa

Mapa zobrazuje dráhy meteoru. Světlejší čáry ukazují směry od pozorovacích stanic při objevení se meteoru a tmavší čáry, kde byl naposledy viděn. Modrá šipka značí viditelnou dráhu meteoru.

static map
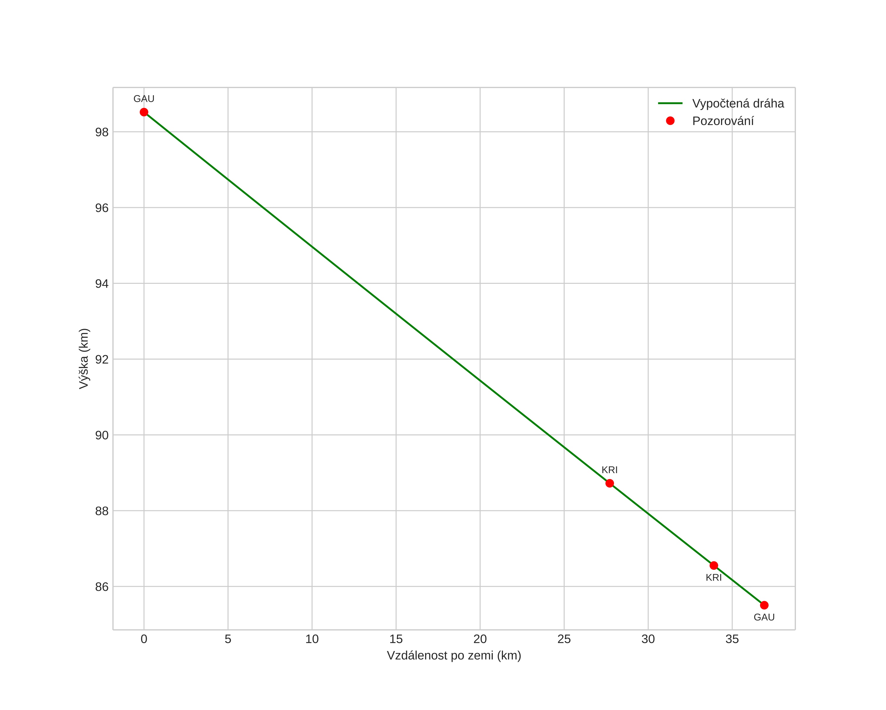
height profile
Atmosférická dráha meteoru:
Počáteční výška: 101,2 km
Konečná výška: 85,8 km
Počáteční poloha: 58,098N 11,614E
Konečná poloha: 58,470N 11,322E
Směr: 337,7°
Sklon: 19,0°
VstupnĂ­ rychlost: 70,5 km/s
Rektascenze radiantu: 16:29 (247,3°)
Deklinace radiantu: -11,2°
MeteorickĂ˝ roj: sporadickĂ˝
Elementy dráhy meteoroidu:
Vzdálenost v periheliu: 0,132 AU
Excentricita: 1,231
Sklon dráhy: 128,0°
Délka vzestupného uzlu: 32,0°
Argument perihelia: 305,0°
Střední anomálie: -58,6°
Epocha: 2024 APR 22 00:16:51
orbit plot

NeinteraktivnĂ­ graf | InteraktivnĂ­ graf

position vs time
speed and acceleration