🇳🇴 🇬🇧 🇩🇪 🇨🇿 🇫🇮

Meteor Hunnebostrandin yllä 2024-04-22 00:16:51 UTC

KML-tiedosto  |  Interaktiivinen kartta

Kartta näyttää meteorin suuntahavainnot. Vaaleammat viivat näyttävät suunnat havaintoasemilta meteorin ilmestyessä, ja tummemmat viivat näyttävät, missä se viimeksi nähtiin. Sininen nuoli näyttää meteorin näkyvän lennon.

static map
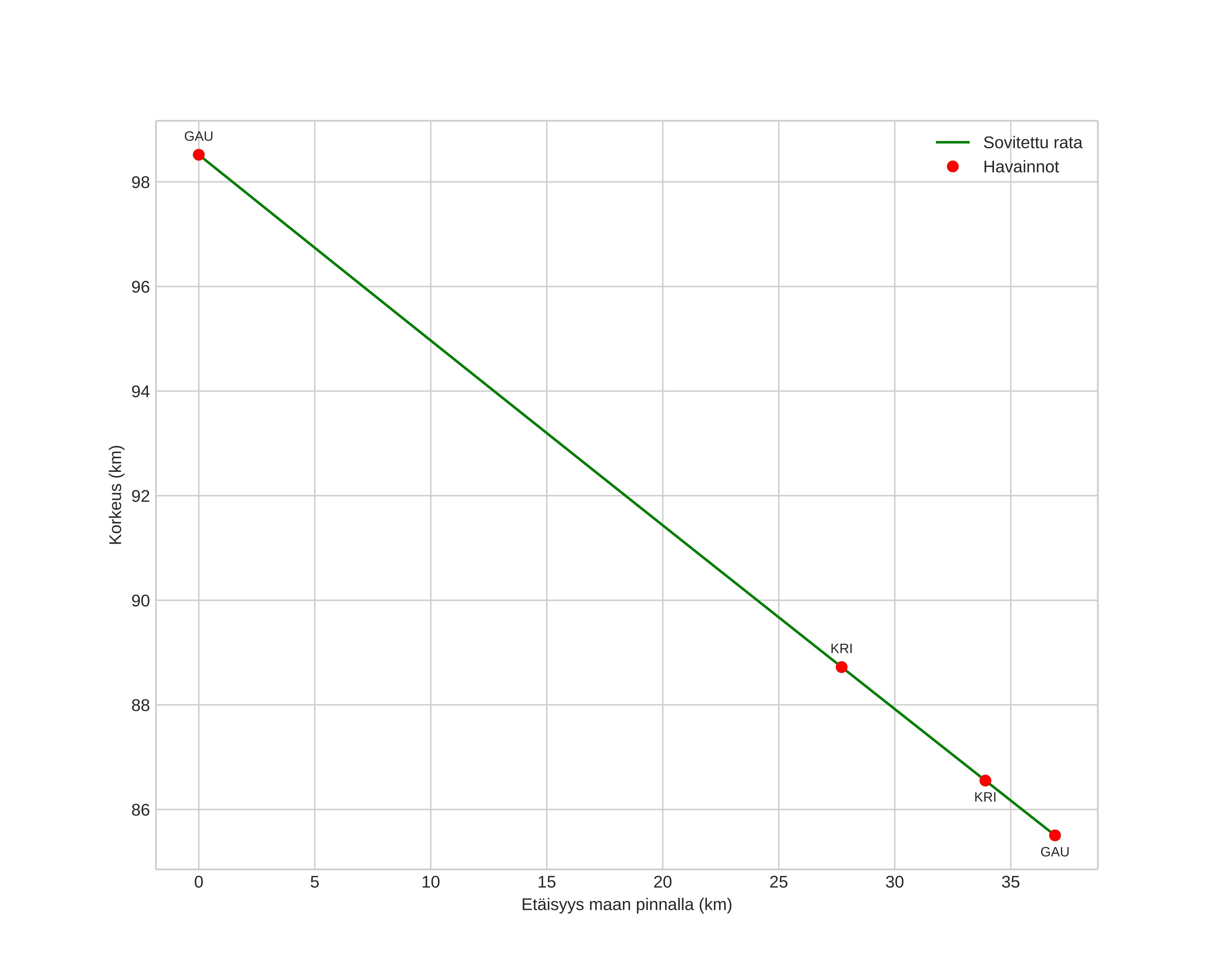
height profile
Meteorin ilmakehärata:
Alkukorkeus: 101,2 km
Loppukorkeus: 85,8 km
Alkupiste: 58,098N 11,614E
Loppupiste: 58,470N 11,322E
Suunta: 337,7°
Kallistuskulma: 19,0°
Tulonopeus: 70,5 km/s
Radiantin R,A,: 16:29 (247,3°)
Radiantin Dekl,: -11,2°
Meteoriparvi: Sporadinen
Meteoroidin rataelementit:
Perihelietäisyys: 0,132 AU
Eksentrisyys: 1,231
Inklinaatio: 128,0°
Nousevan solmun pituus: 32,0°
Perihelin argumentti: 305,0°
Keskianomalia: -58,6°
Epookki: 2024 APR 22 00:16:51
orbit plot

Ei-interaktiivinen kuvaaja | Interaktiivinen kuvaaja

position vs time
speed and acceleration