🇳🇴 🇬🇧 🇩🇪 🇨🇿 🇫🇮

Meteor, poloha: Simrishamn 2024-04-22 01:18:11 UTC

Soubor KML  |  InteraktivnĂ­ mapa

Mapa zobrazuje dráhy meteoru. Světlejší čáry ukazují směry od pozorovacích stanic při objevení se meteoru a tmavší čáry, kde byl naposledy viděn. Modrá šipka značí viditelnou dráhu meteoru.

static map
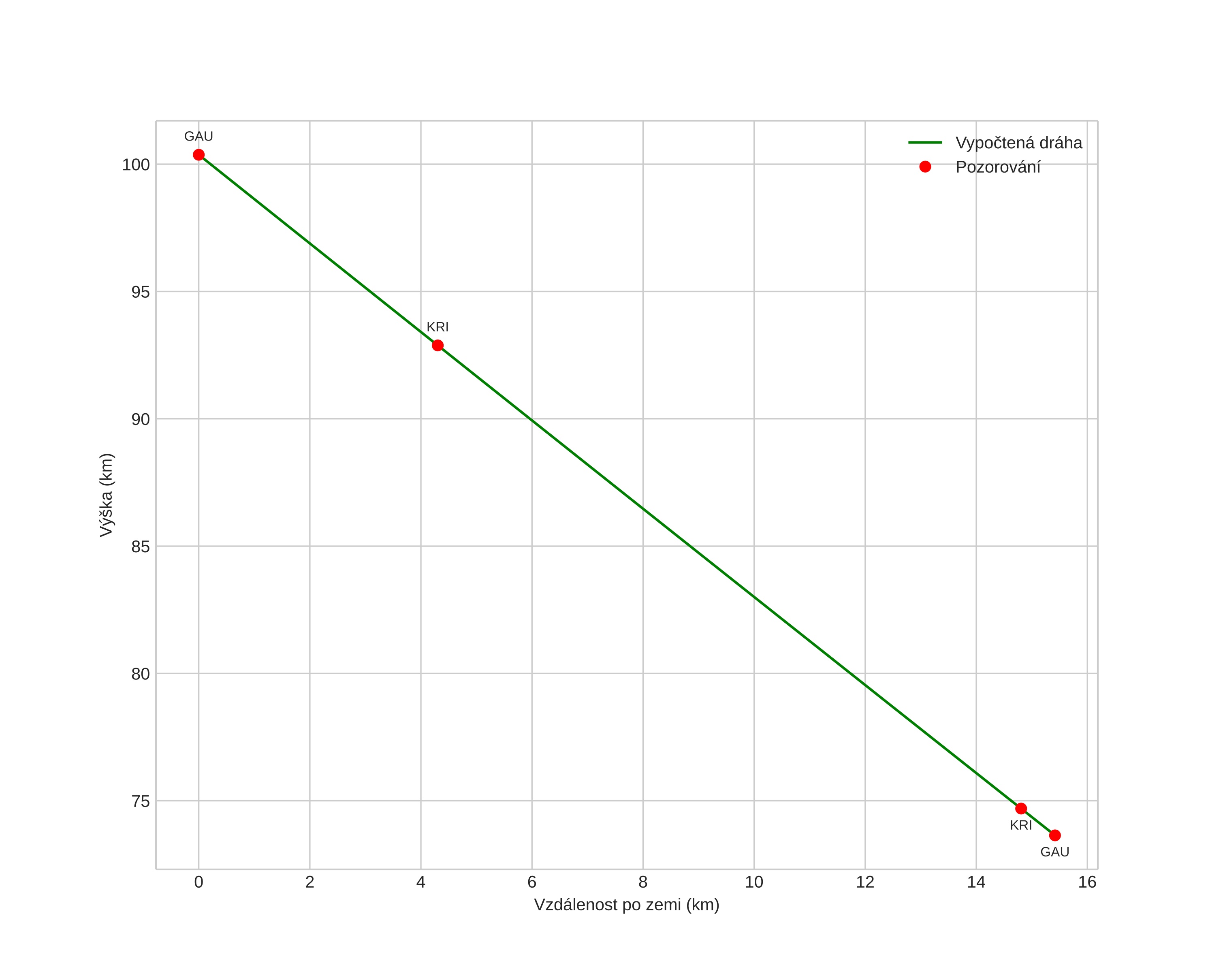
height profile
Atmosférická dráha meteoru:
Počáteční výška: 103,2 km
Konečná výška: 72,6 km
Počáteční poloha: 55,303N 14,591E
Konečná poloha: 55,398N 14,365E
Směr: 306,6°
Sklon: 59,8°
VstupnĂ­ rychlost: 47,1 km/s
Rektascenze radiantu: 18:11 (273,0°)
Deklinace radiantu: 32,3°
MeteorickĂ˝ roj: Lyridy
Elementy dráhy meteoroidu:
Vzdálenost v periheliu: 0,914 AU
Excentricita: 0,827
Sklon dráhy: 79,8°
Délka vzestupného uzlu: 32,1°
Argument perihelia: 217,0°
Střední anomálie: 357,9°
Epocha: 2024 APR 22 01:18:11
orbit plot

NeinteraktivnĂ­ graf | InteraktivnĂ­ graf

position vs time
speed and acceleration