🇳🇴 🇬🇧 🇩🇪 🇨🇿 🇫🇮

Meteor Simrishamnin yllä 2024-04-22 01:18:11 UTC

KML-tiedosto  |  Interaktiivinen kartta

Kartta näyttää meteorin suuntahavainnot. Vaaleammat viivat näyttävät suunnat havaintoasemilta meteorin ilmestyessä, ja tummemmat viivat näyttävät, missä se viimeksi nähtiin. Sininen nuoli näyttää meteorin näkyvän lennon.

static map
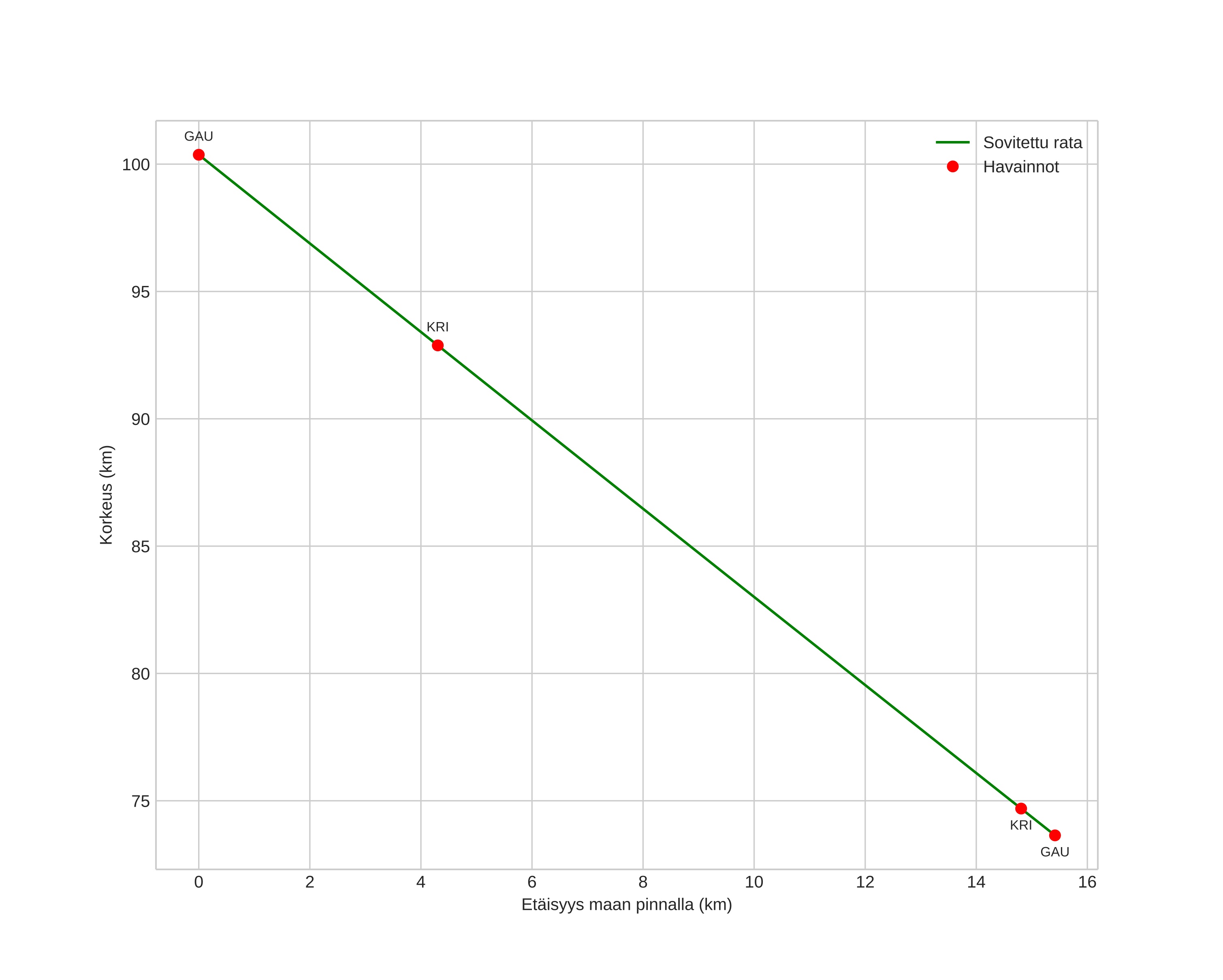
height profile
Meteorin ilmakehärata:
Alkukorkeus: 103,2 km
Loppukorkeus: 72,6 km
Alkupiste: 55,303N 14,591E
Loppupiste: 55,398N 14,365E
Suunta: 306,6°
Kallistuskulma: 59,8°
Tulonopeus: 47,1 km/s
Radiantin R,A,: 18:11 (273,0°)
Radiantin Dekl,: 32,3°
Meteoriparvi: Lyridit
Meteoroidin rataelementit:
Perihelietäisyys: 0,914 AU
Eksentrisyys: 0,827
Inklinaatio: 79,8°
Nousevan solmun pituus: 32,1°
Perihelin argumentti: 217,0°
Keskianomalia: 357,9°
Epookki: 2024 APR 22 01:18:11
orbit plot

Ei-interaktiivinen kuvaaja | Interaktiivinen kuvaaja

position vs time
speed and acceleration