🇳🇴 🇬🇧 🇩🇪 🇨🇿 🇫🇮

Meteor, poloha: Tangvall 2024-04-22 01:41:40 UTC

Soubor KML  |  InteraktivnĂ­ mapa

Mapa zobrazuje dráhy meteoru. Světlejší čáry ukazují směry od pozorovacích stanic při objevení se meteoru a tmavší čáry, kde byl naposledy viděn. Modrá šipka značí viditelnou dráhu meteoru.

static map
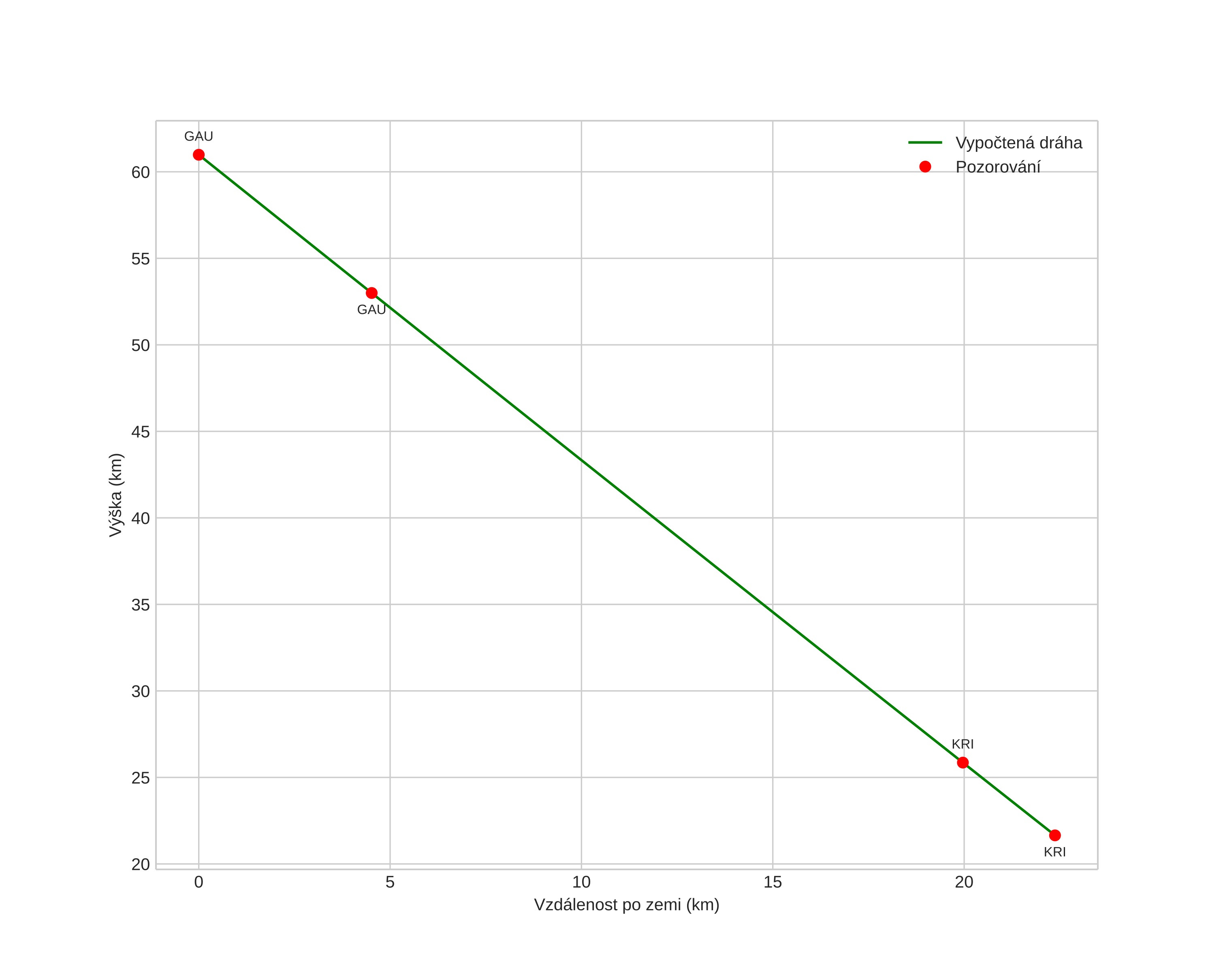
height profile
Atmosférická dráha meteoru:
Počáteční výška: 61,0 km
Konečná výška: 21,6 km
Počáteční poloha: 57,917N 8,139E
Konečná poloha: 58,045N 7,848E
Směr: 309,9°
Sklon: 60,5°
VstupnĂ­ rychlost: 29,1 km/s
Rektascenze radiantu: 18:05 (271,3°)
Deklinace radiantu: 33,7°
MeteorickĂ˝ roj: sporadickĂ˝
Elementy dráhy meteoroidu:
Vzdálenost v periheliu: 0,731 AU
Excentricita: 0,239
Sklon dráhy: 52,9°
Délka vzestupného uzlu: 32,1°
Argument perihelia: 294,4°
Střední anomálie: 272,3°
Epocha: 2024 APR 22 01:41:40
orbit plot

NeinteraktivnĂ­ graf | InteraktivnĂ­ graf

position vs time
speed and acceleration