🇳🇴 🇬🇧 🇩🇪 🇨🇿 🇫🇮

Meteor Tangvallin yllä 2024-04-22 01:41:40 UTC

KML-tiedosto  |  Interaktiivinen kartta

Kartta näyttää meteorin suuntahavainnot. Vaaleammat viivat näyttävät suunnat havaintoasemilta meteorin ilmestyessä, ja tummemmat viivat näyttävät, missä se viimeksi nähtiin. Sininen nuoli näyttää meteorin näkyvän lennon.

static map
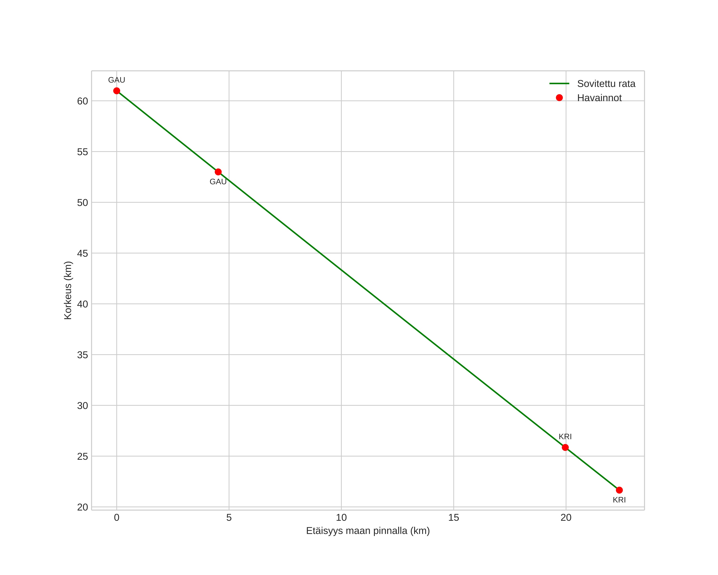
height profile
Meteorin ilmakehärata:
Alkukorkeus: 61,0 km
Loppukorkeus: 21,6 km
Alkupiste: 57,917N 8,139E
Loppupiste: 58,045N 7,848E
Suunta: 309,9°
Kallistuskulma: 60,5°
Tulonopeus: 29,1 km/s
Radiantin R,A,: 18:05 (271,3°)
Radiantin Dekl,: 33,7°
Meteoriparvi: Sporadinen
Meteoroidin rataelementit:
Perihelietäisyys: 0,731 AU
Eksentrisyys: 0,239
Inklinaatio: 52,9°
Nousevan solmun pituus: 32,1°
Perihelin argumentti: 294,4°
Keskianomalia: 272,3°
Epookki: 2024 APR 22 01:41:40
orbit plot

Ei-interaktiivinen kuvaaja | Interaktiivinen kuvaaja

position vs time
speed and acceleration