🇳🇴 🇬🇧 🇩🇪 🇨🇿 🇫🇮

Meteor, poloha: Drøbak 2024-04-24 22:31:06 UTC

Soubor KML  |  InteraktivnĂ­ mapa

Mapa zobrazuje dráhy meteoru. Světlejší čáry ukazují směry od pozorovacích stanic při objevení se meteoru a tmavší čáry, kde byl naposledy viděn. Modrá šipka značí viditelnou dráhu meteoru.

static map
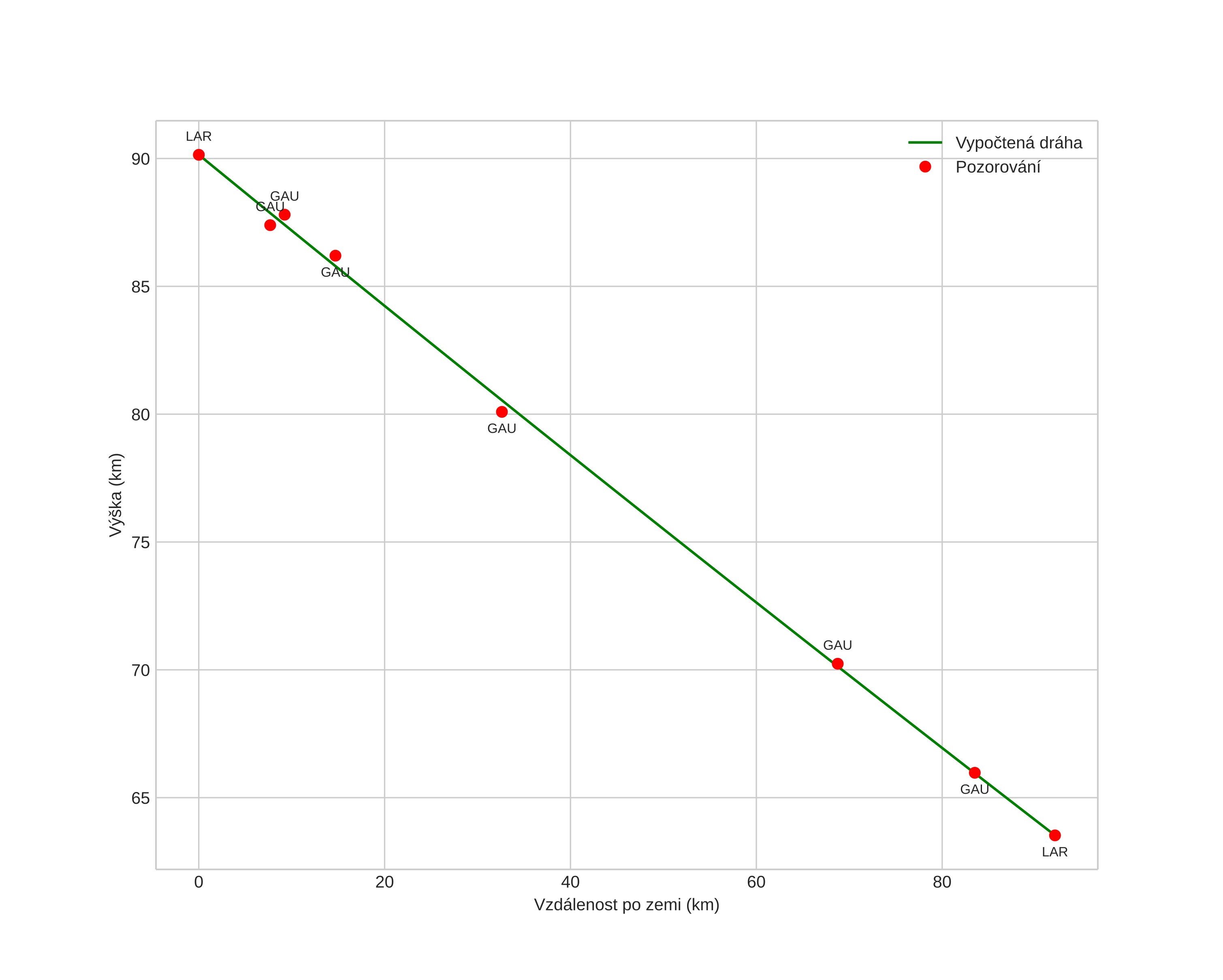
height profile
Atmosférická dráha meteoru:
Počáteční výška: 93,3 km
Konečná výška: 66,2 km
Počáteční poloha: 58,845N 10,471E
Konečná poloha: 59,683N 10,636E
Směr: 5,7°
Sklon: 16,1°
VstupnĂ­ rychlost: 21,8 km/s
Rektascenze radiantu: 12:58 (194,6°)
Deklinace radiantu: -21,1°
MeteorickĂ˝ roj: sporadickĂ˝
Elementy dráhy meteoroidu:
Vzdálenost v periheliu: 0,761 AU
Excentricita: 0,739
Sklon dráhy: 7,5°
Délka vzestupného uzlu: 214,9°
Argument perihelia: 64,8°
Střední anomálie: 352,0°
Epocha: 2024 APR 24 22:31:06
orbit plot

NeinteraktivnĂ­ graf | InteraktivnĂ­ graf

position vs time
speed and acceleration