🇳🇴 🇬🇧 🇩🇪 🇨🇿 🇫🇮

Meteor Drøbakin yllä 2024-04-24 22:31:06 UTC

KML-tiedosto  |  Interaktiivinen kartta

Kartta näyttää meteorin suuntahavainnot. Vaaleammat viivat näyttävät suunnat havaintoasemilta meteorin ilmestyessä, ja tummemmat viivat näyttävät, missä se viimeksi nähtiin. Sininen nuoli näyttää meteorin näkyvän lennon.

static map
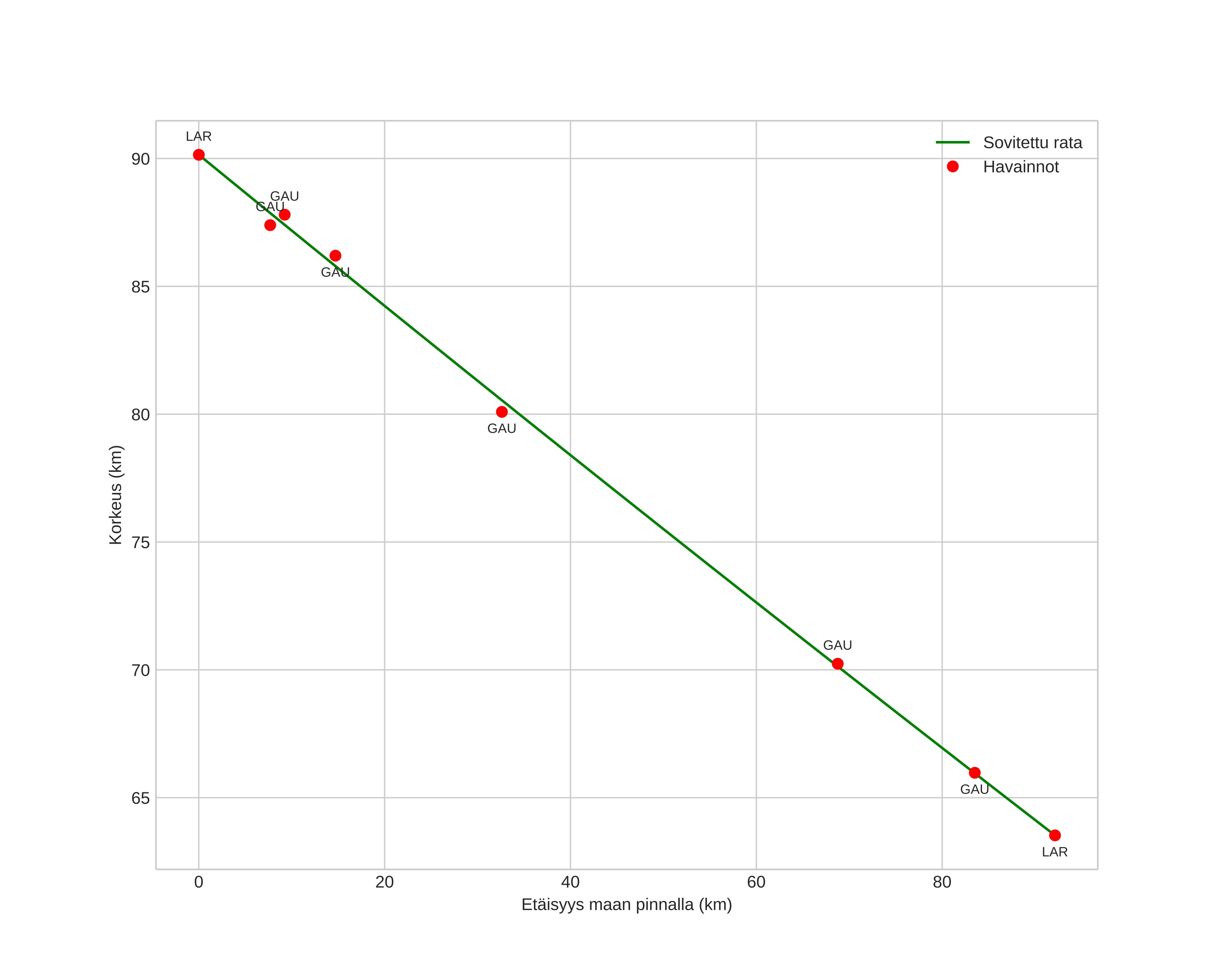
height profile
Meteorin ilmakehärata:
Alkukorkeus: 93,3 km
Loppukorkeus: 66,2 km
Alkupiste: 58,845N 10,471E
Loppupiste: 59,683N 10,636E
Suunta: 5,7°
Kallistuskulma: 16,1°
Tulonopeus: 21,8 km/s
Radiantin R,A,: 12:58 (194,6°)
Radiantin Dekl,: -21,1°
Meteoriparvi: Sporadinen
Meteoroidin rataelementit:
Perihelietäisyys: 0,761 AU
Eksentrisyys: 0,739
Inklinaatio: 7,5°
Nousevan solmun pituus: 214,9°
Perihelin argumentti: 64,8°
Keskianomalia: 352,0°
Epookki: 2024 APR 24 22:31:06
orbit plot

Ei-interaktiivinen kuvaaja | Interaktiivinen kuvaaja

position vs time
speed and acceleration